Subjects
Online Tutoring
Homework Help
Homework Library
Tutors
Online Classes
More
Bookstore
Blog
Technical Tips
FAQ
Contact Us
Get Help Now
Home
Homework Library
Chemistry
Chemistry - Other
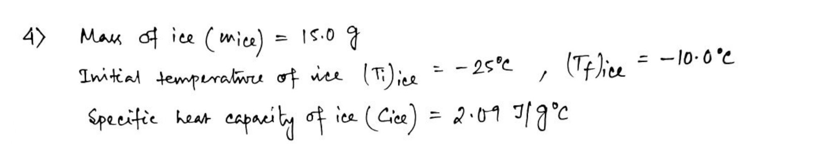
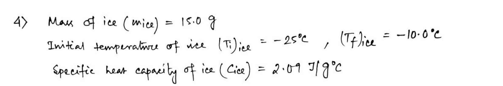
4. If 15.0 g of Ice at -25.0°C is mixed with a mass of antifreez...
4. If 15.0 g of Ice at -25.0°C is mixed with a mass of antifreeze...