Subjects
Online Tutoring
Homework Help
Homework Library
Tutors
Online Classes
More
Bookstore
Blog
Technical Tips
FAQ
Contact Us
Get Help Now
Home
Homework Library
Biology
Biology - Other
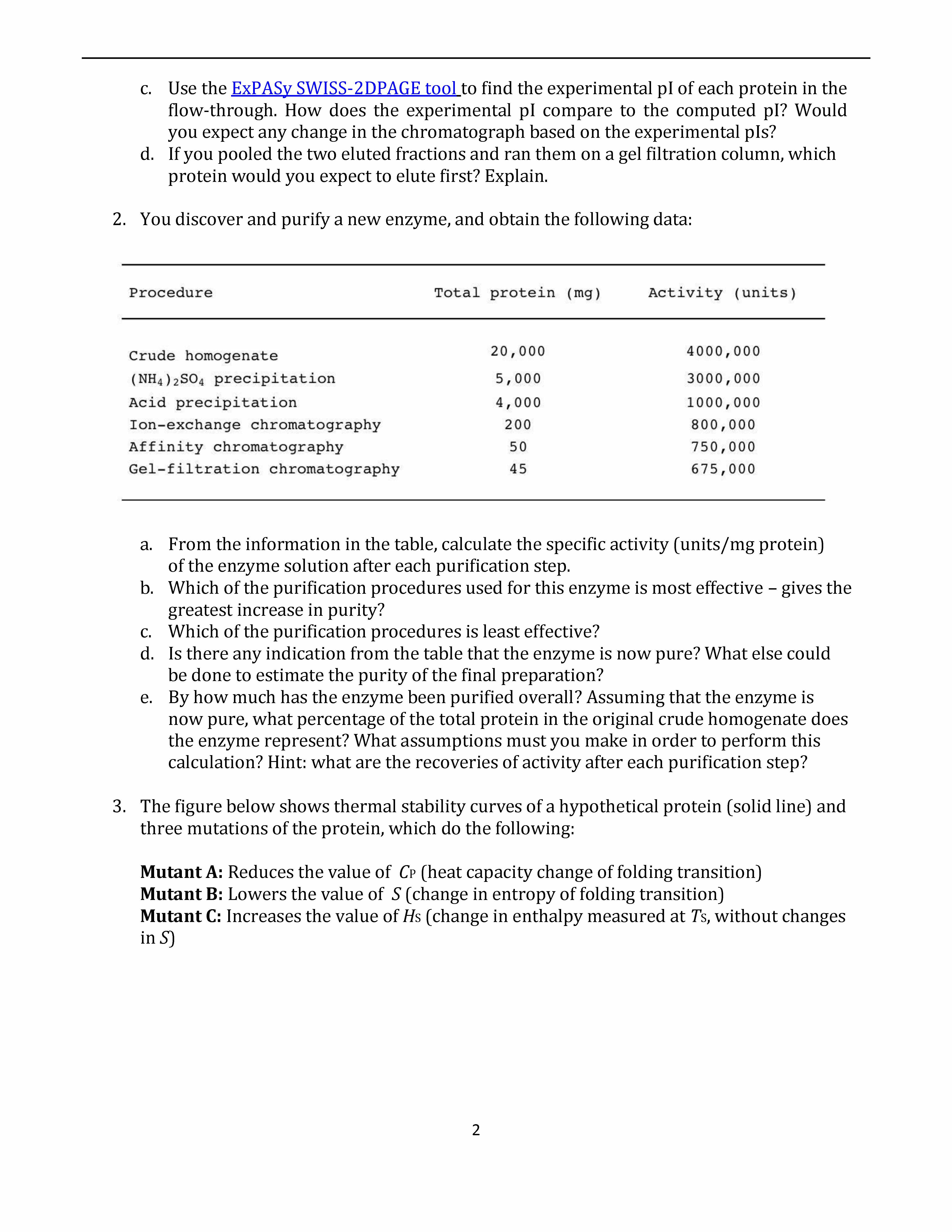
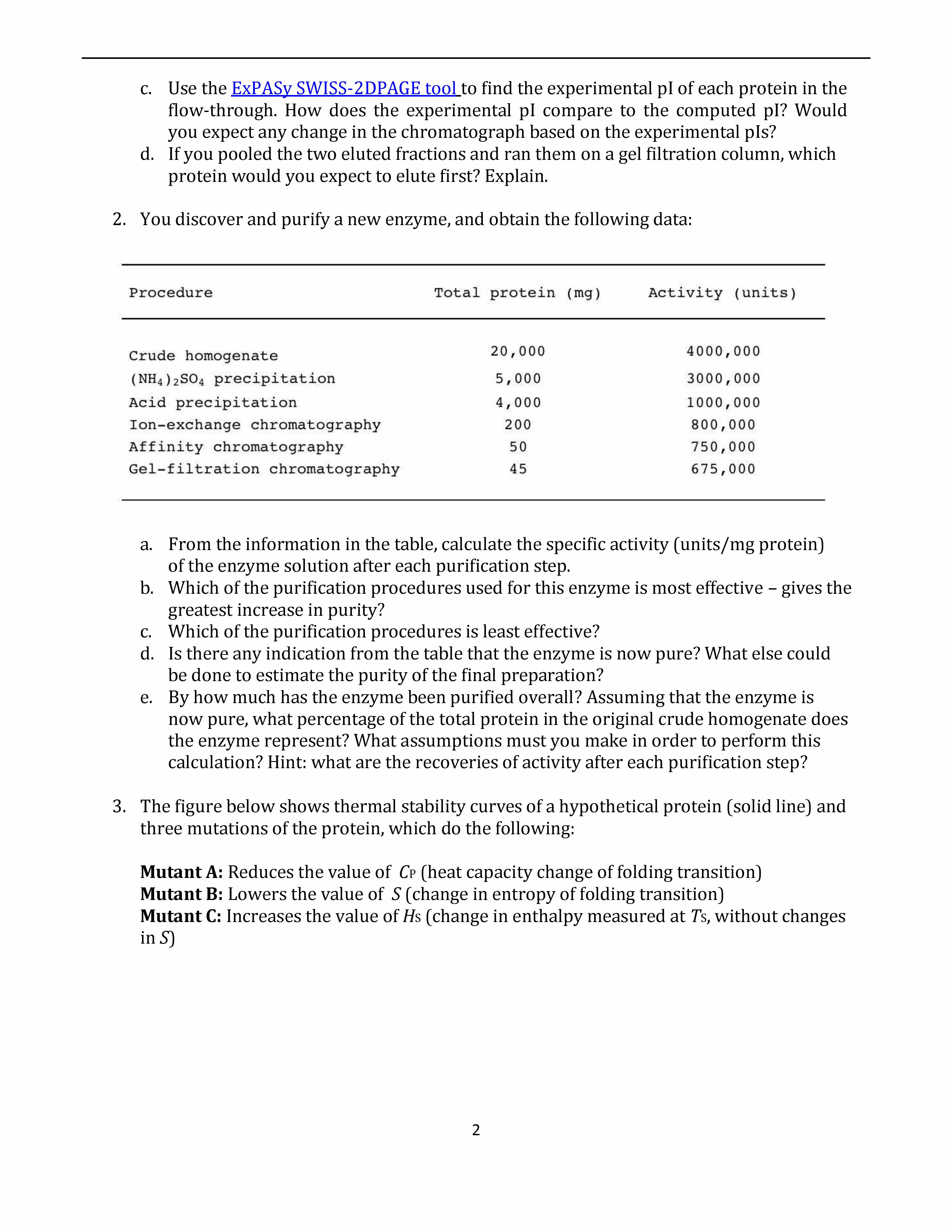
1. You are performing a cation-exchange chromatography experiment o...
1. You are performing a cation-exchange chromatography experiment o...