Subjects
Online Tutoring
Homework Help
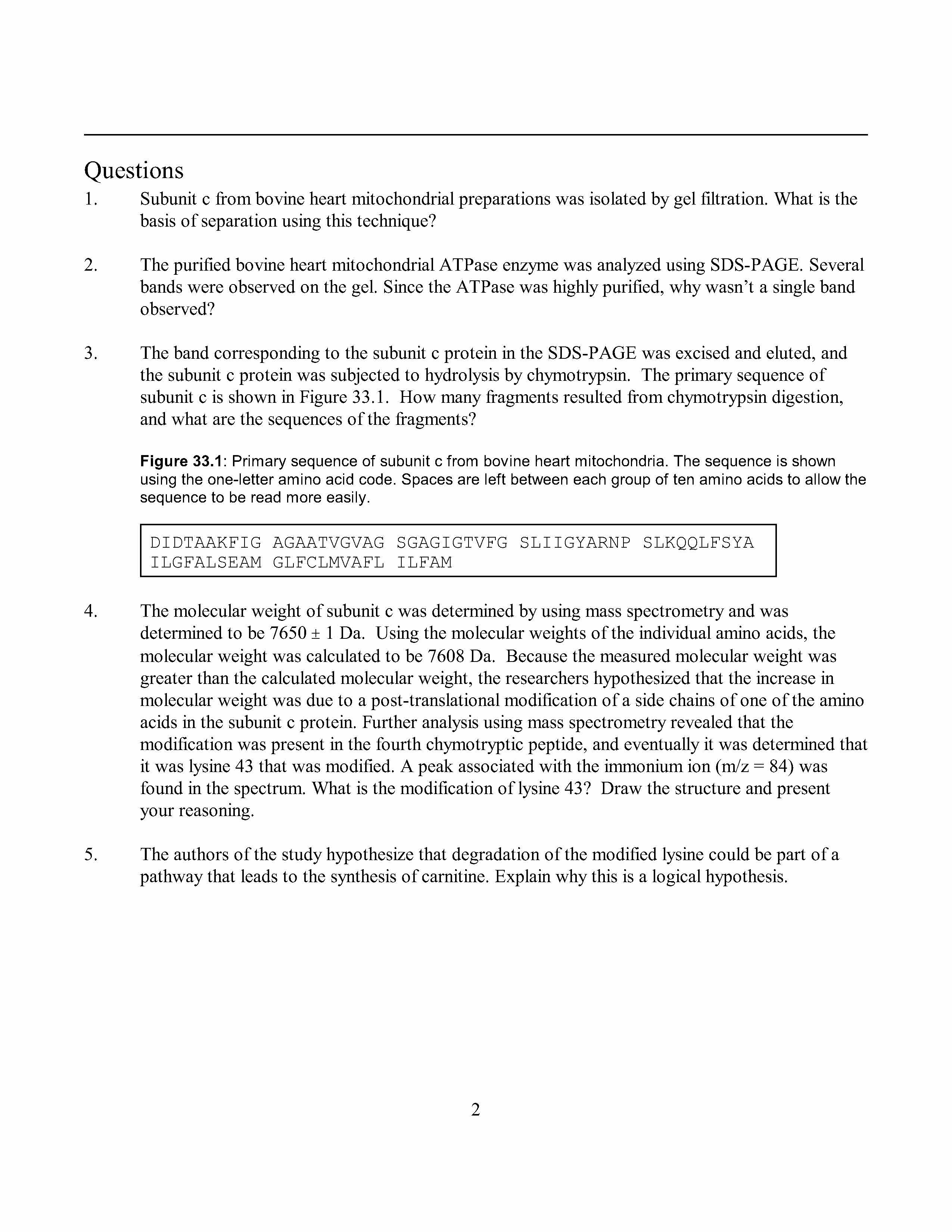
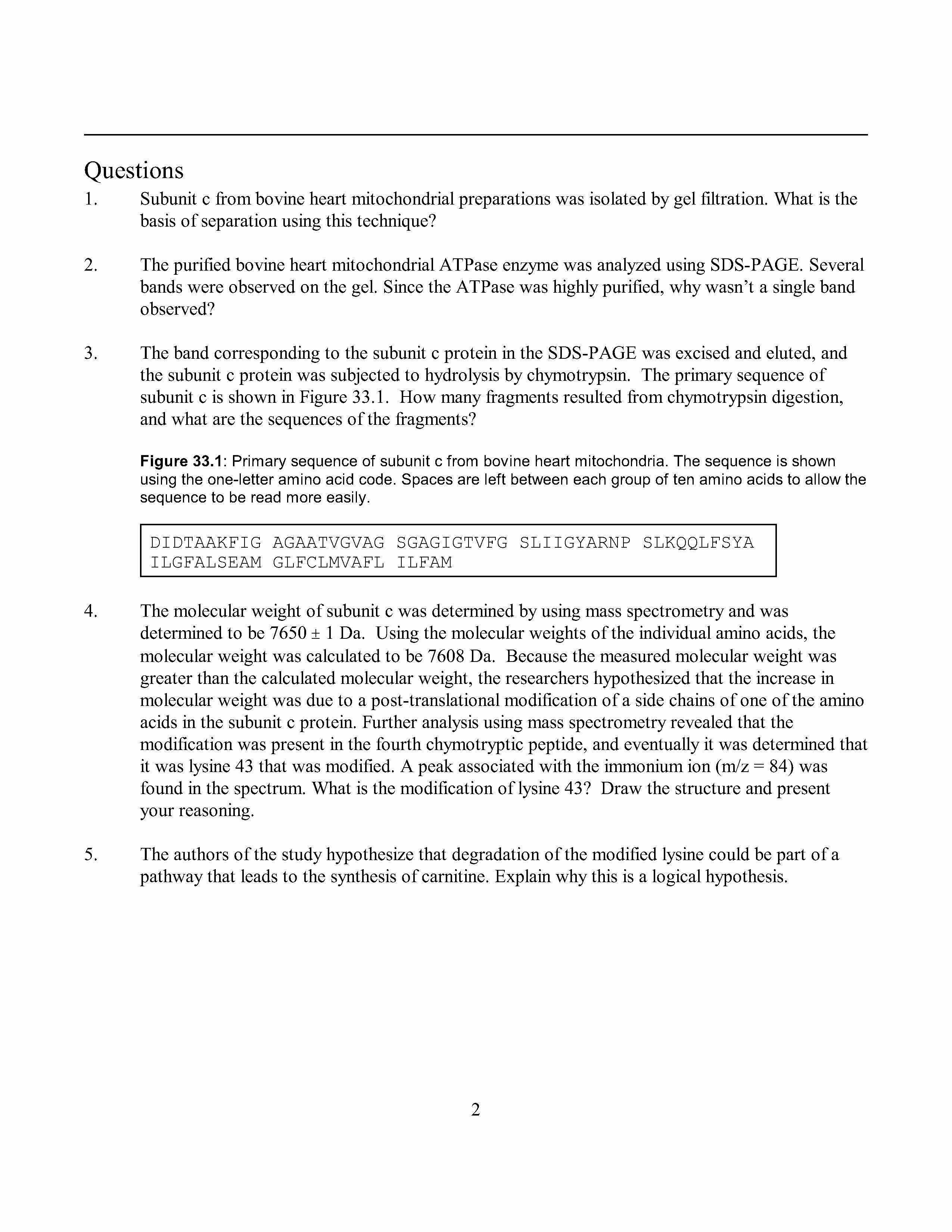
Homework Library
Tutors
Online Classes
More
Bookstore
Blog
Technical Tips
FAQ
Contact Us
Get Help Now
Home
Homework Library
Biology
Biology - Other
Monooxygenases are able to incorporate one atom from molecular oxyg...
Monooxygenases are able to incorporate one atom from molecular oxyg...