Subjects
Online Tutoring
Homework Help
Homework Library
Tutors
Online Classes
More
Bookstore
Blog
Technical Tips
FAQ
Contact Us
Get Help Now
Home
Homework Library
Biology
Molecular Biology
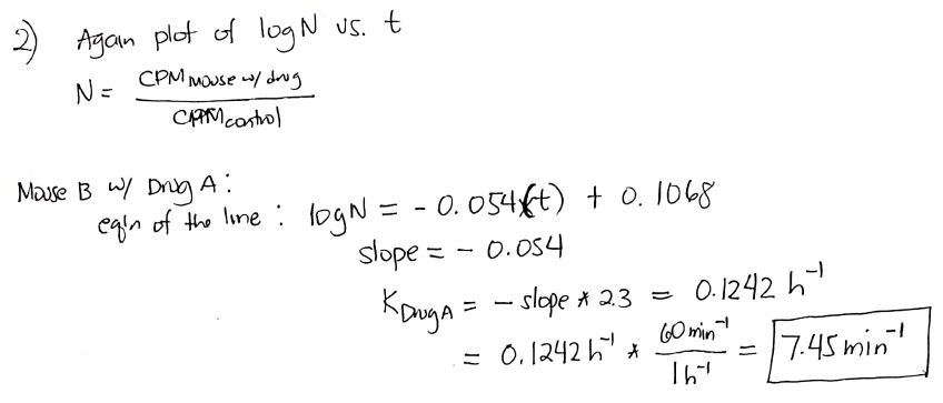
Short-lived radioactive isotopes are often used in medicine. Sodium...
Short-lived radioactive isotopes are often used in medicine. Sodium...