Subjects
Online Tutoring
Homework Help
Homework Library
Tutors
More
Bookstore
Blog
Technical Tips
FAQ
Contact Us
Get Help Now
Home
Homework Library
Business
Accounting
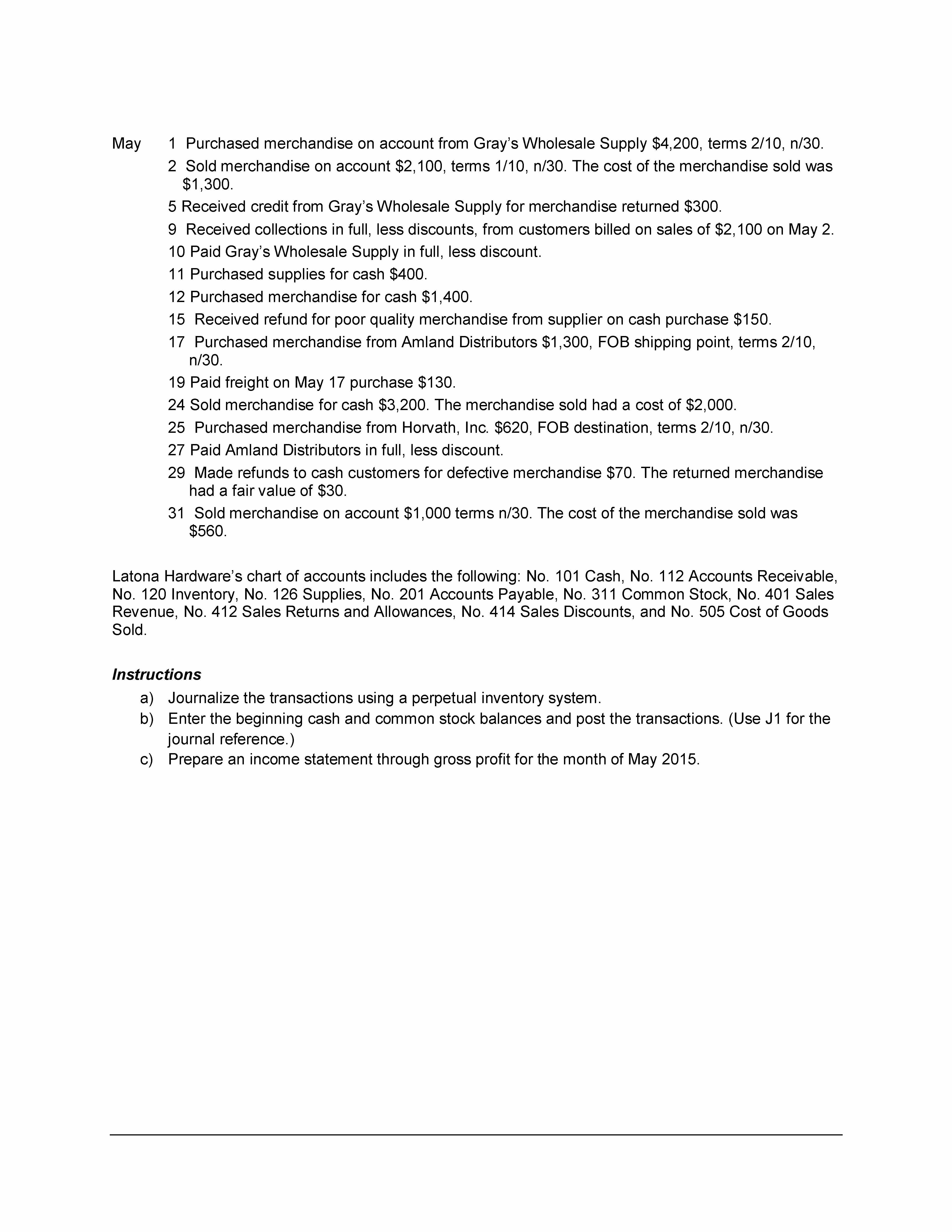
Due Week 4 and worth 105 points Directions: Answer the following q...
Due Week 4 and worth 105 points Directions: Answer the following q...