Subjects
Online Tutoring
Homework Help
Homework Library
Tutors
More
Bookstore
Blog
Technical Tips
FAQ
Contact Us
Get Help Now
Home
Homework Library
Business
Accounting
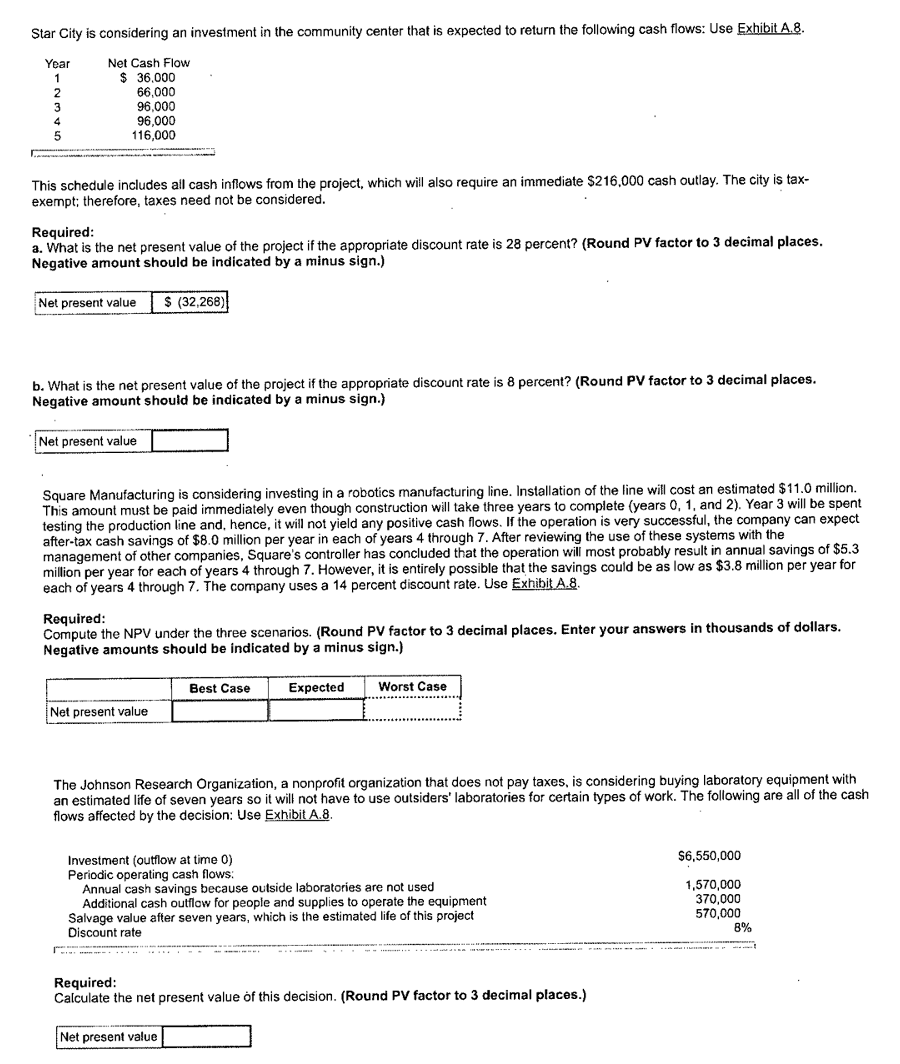
Star City is considering an investment in the community center that...
Star City is considering an investment in the community center that...