Subjects
Online Tutoring
Homework Help
Homework Library
Tutors
Online Classes
More
Bookstore
Blog
Technical Tips
FAQ
Contact Us
Get Help Now
Home
Homework Library
Business
Accounting
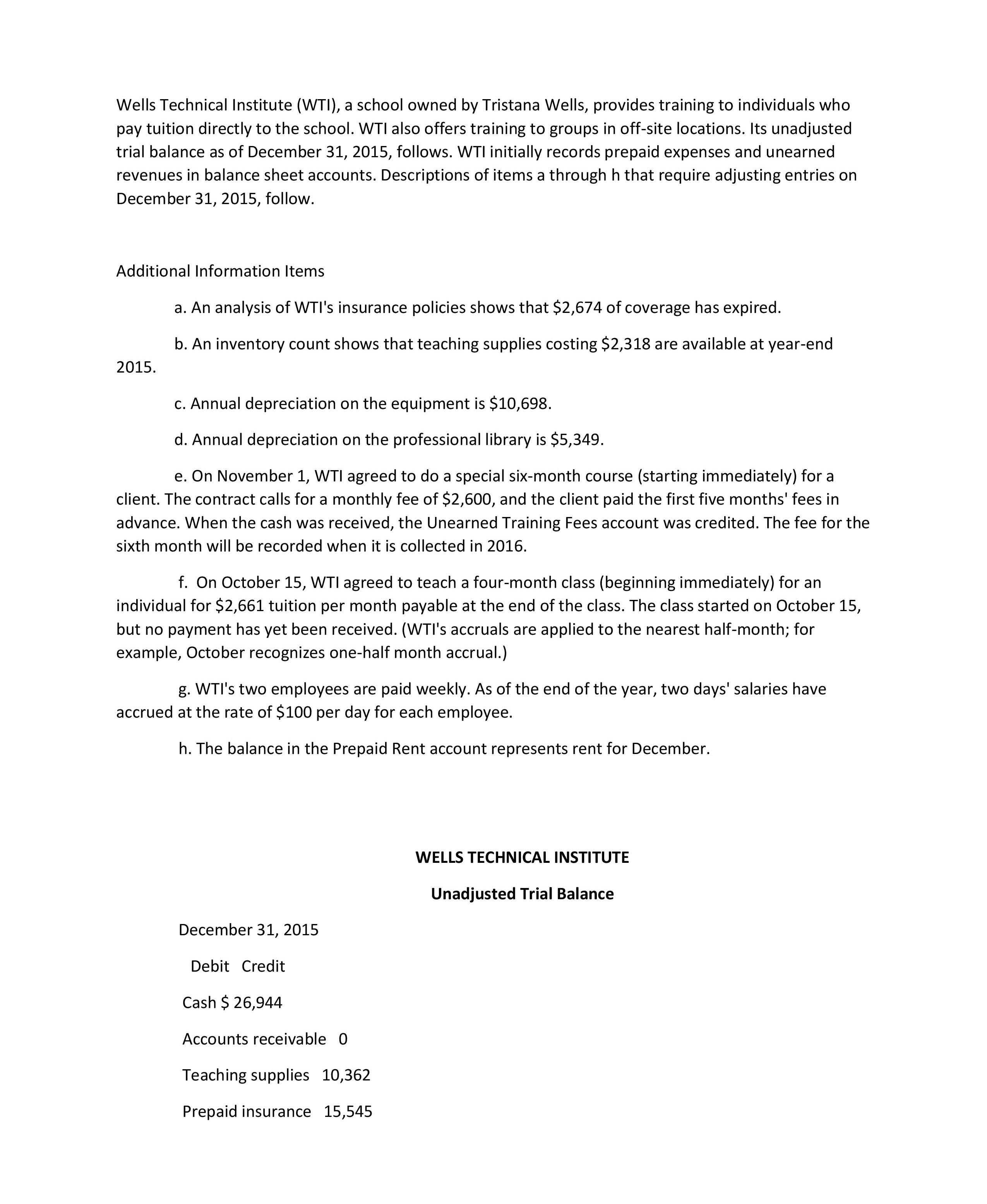
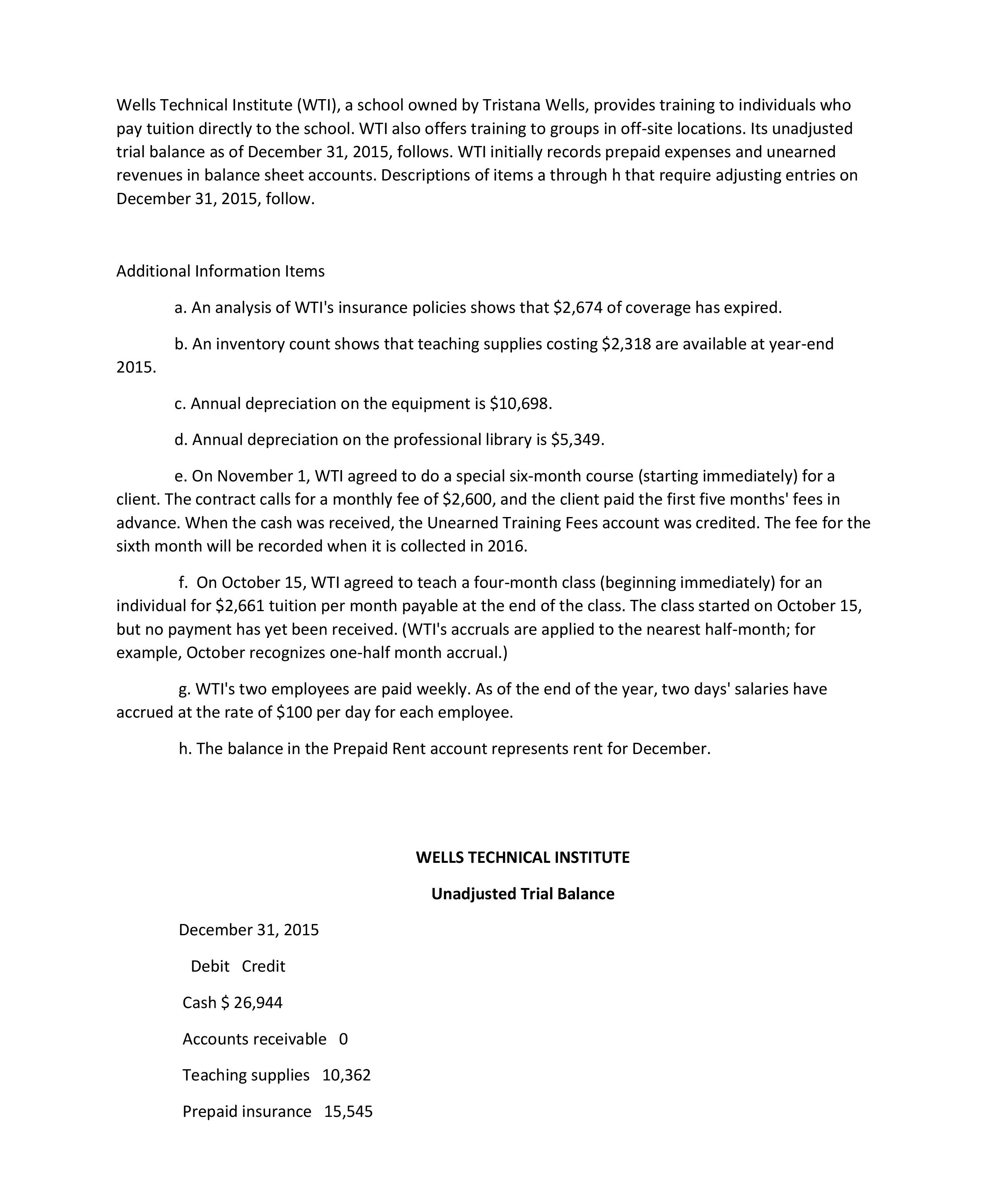
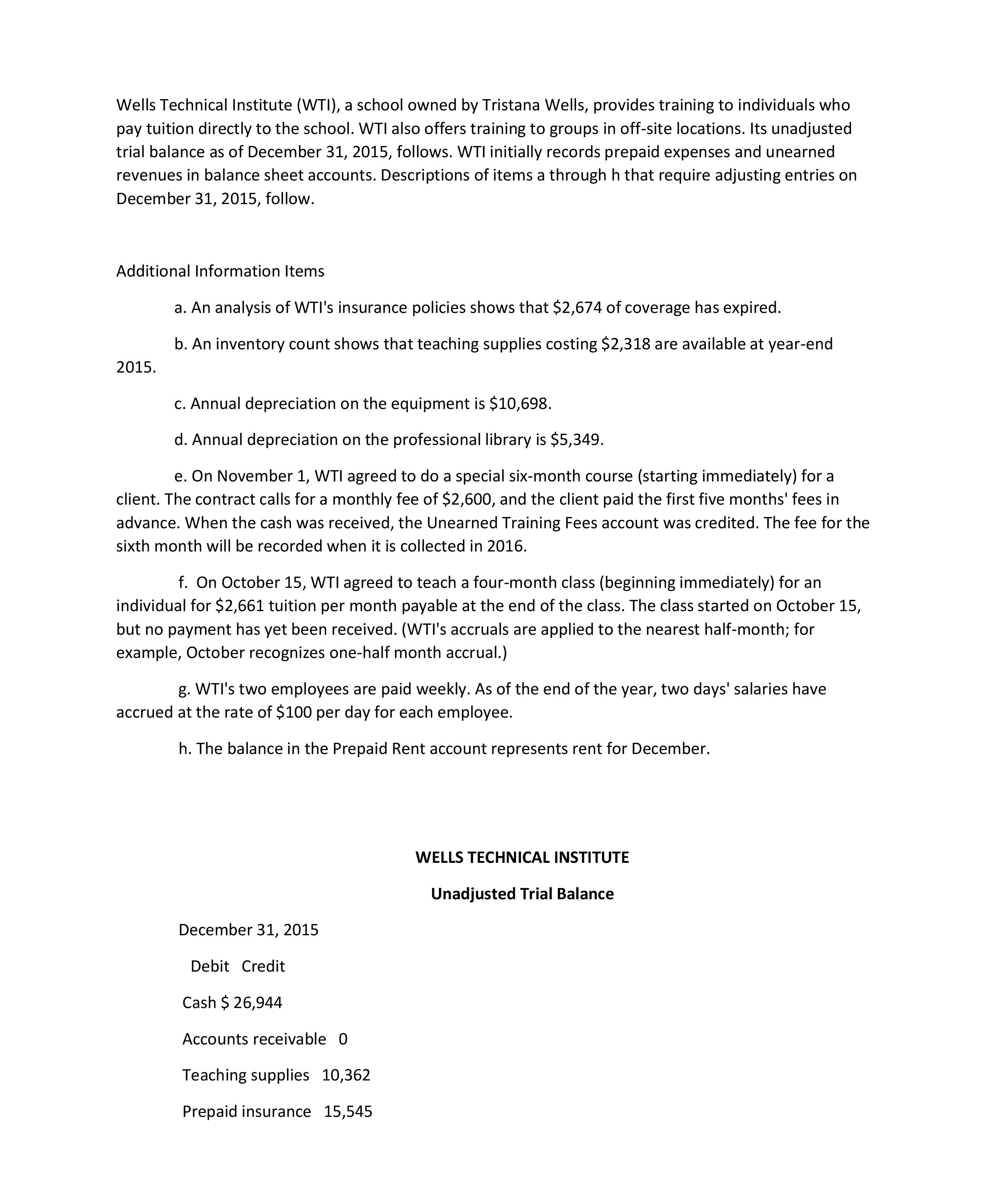
Wells Technical Institute (WTI), a school owned by Tristana Wells, ...
Wells Technical Institute (WTI), a school owned by Tristana Wells,...