Subjects
Online Tutoring
Homework Help
Homework Library
Tutors
More
Bookstore
Blog
Technical Tips
FAQ
Contact Us
Get Help Now
Home
Homework Library
Business
Accounting
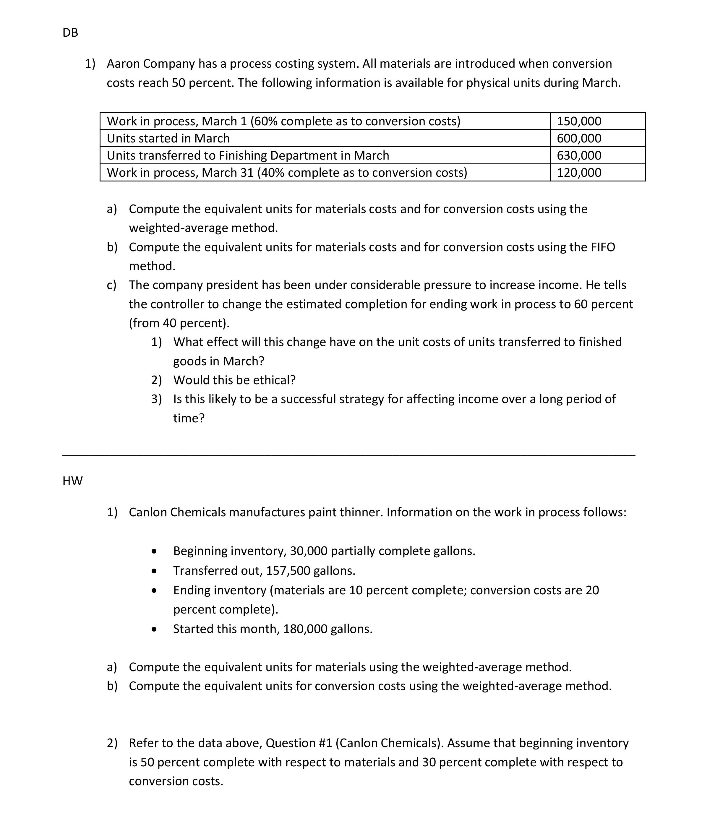
DB 1) Aaron Company has a process costing system. All materials ar...
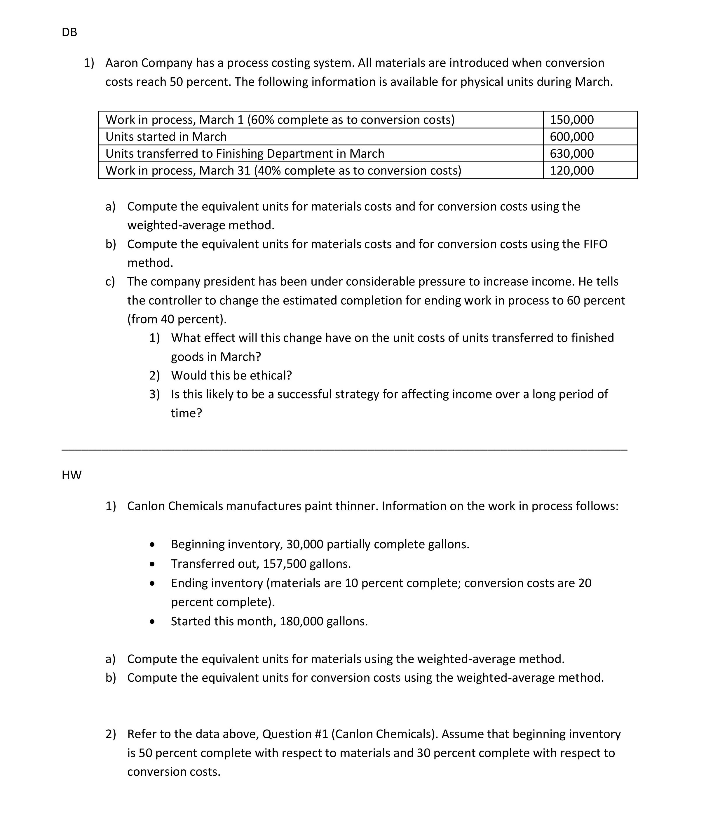
DB 1) Aaron Company has a process costing system. All materials ar...