Subjects
Online Tutoring
Homework Help
Homework Library
Tutors
Online Classes
More
Bookstore
Blog
Technical Tips
FAQ
Contact Us
Get Help Now
Home
Homework Library
Business
Accounting
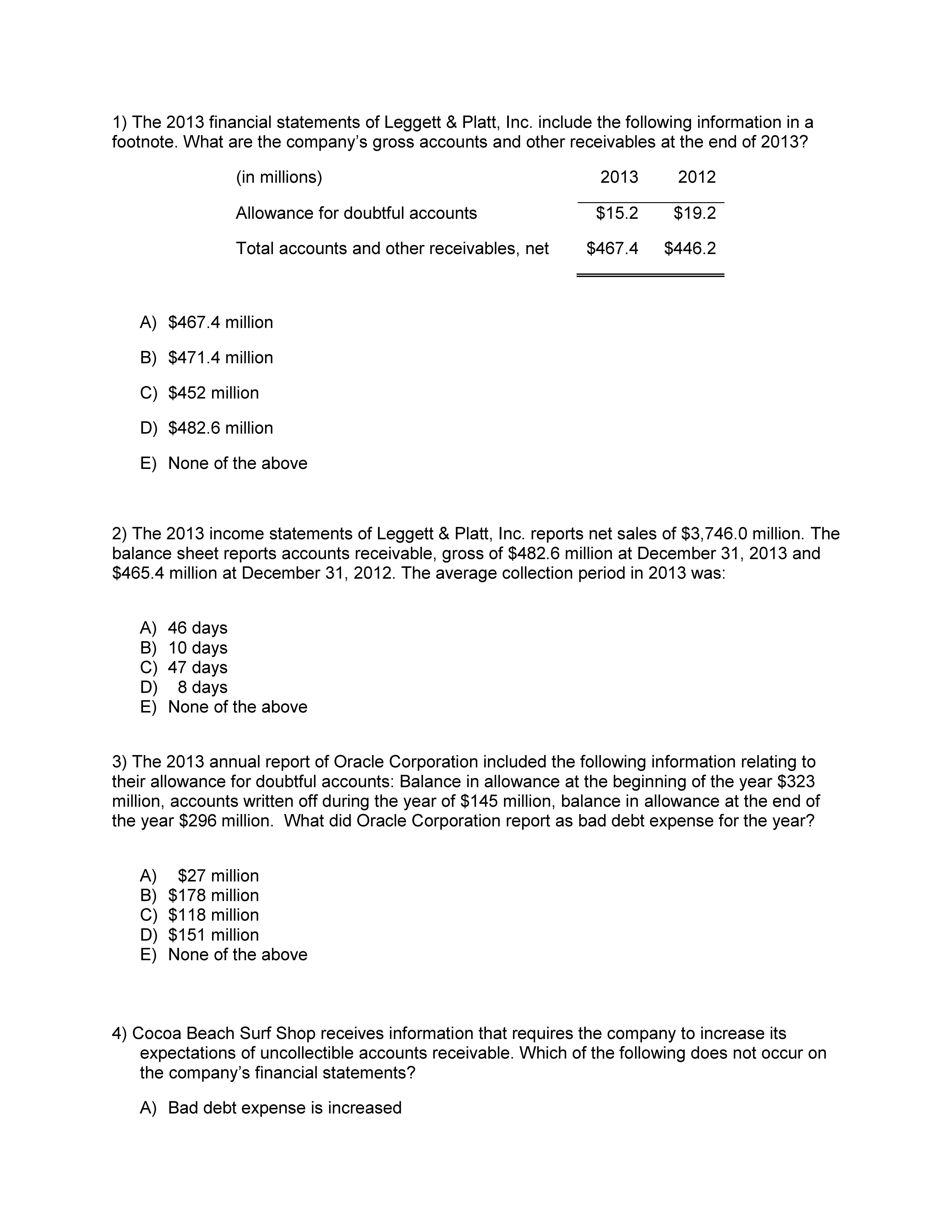
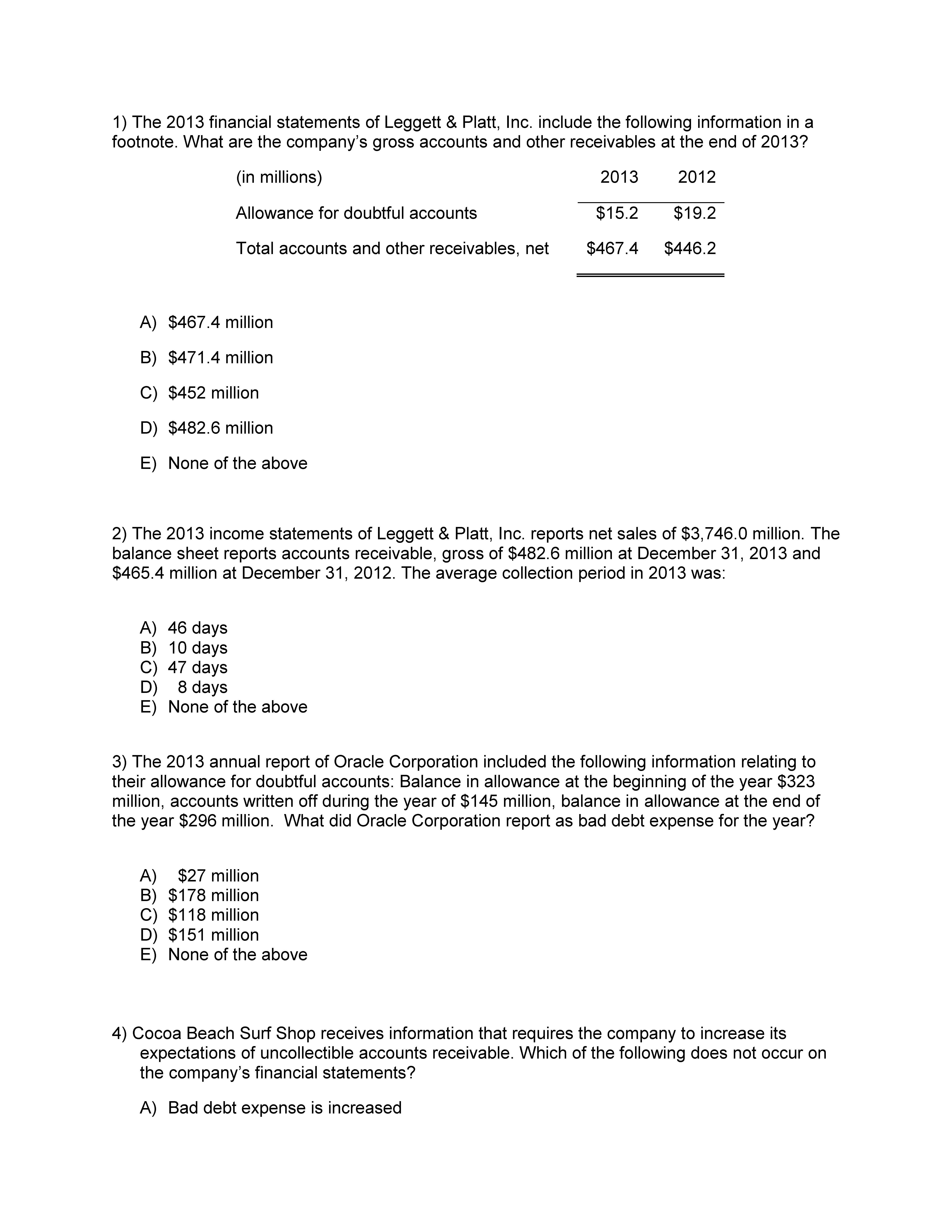
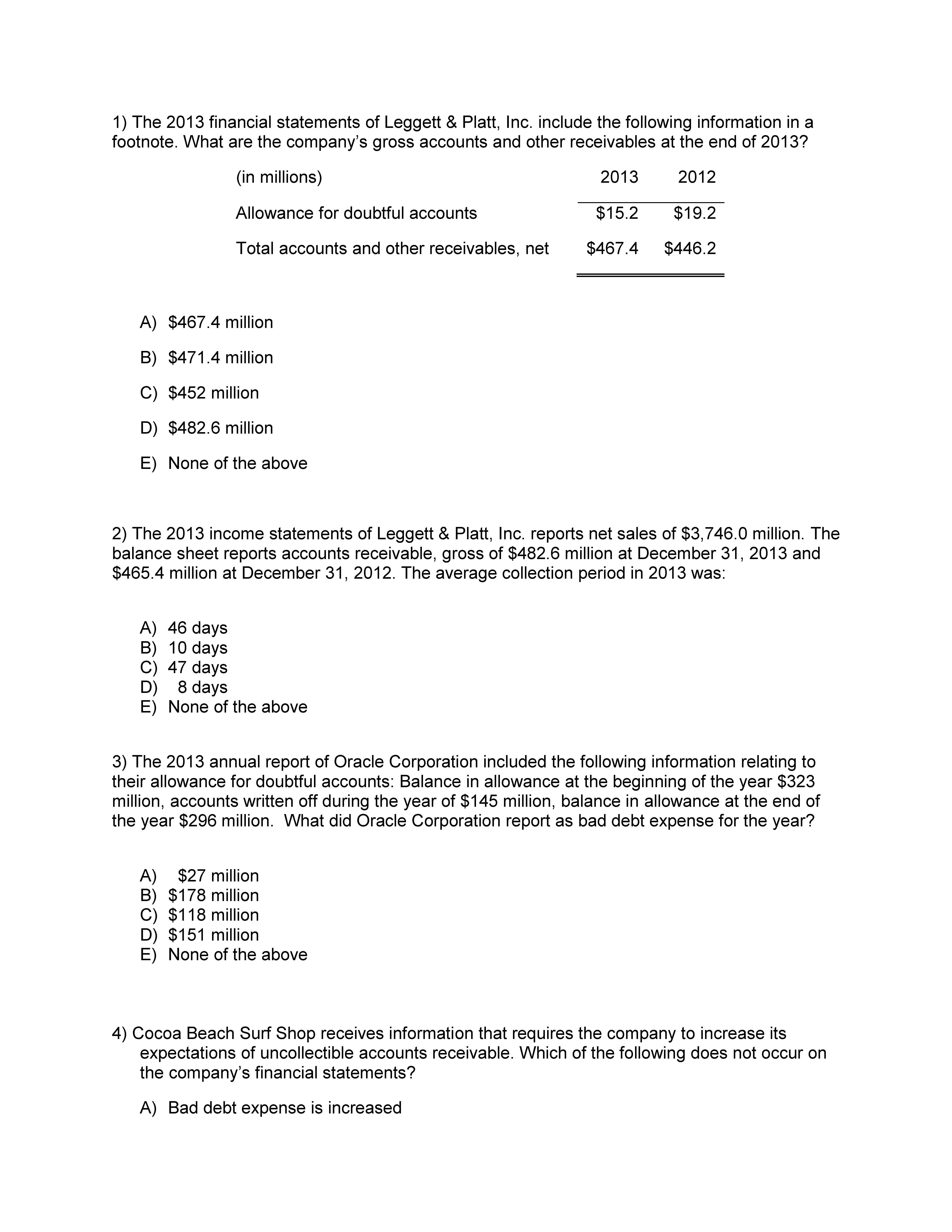
1)The 2013 financial statements of Leggett Platt, Inc include the f...
1)The 2013 financial statements of Leggett Platt, Inc include the f...