Subjects
Online Tutoring
Homework Help
Homework Library
Tutors
Online Classes
More
Bookstore
Blog
Technical Tips
FAQ
Contact Us
Get Help Now
Home
Homework Library
Business
Business - Other
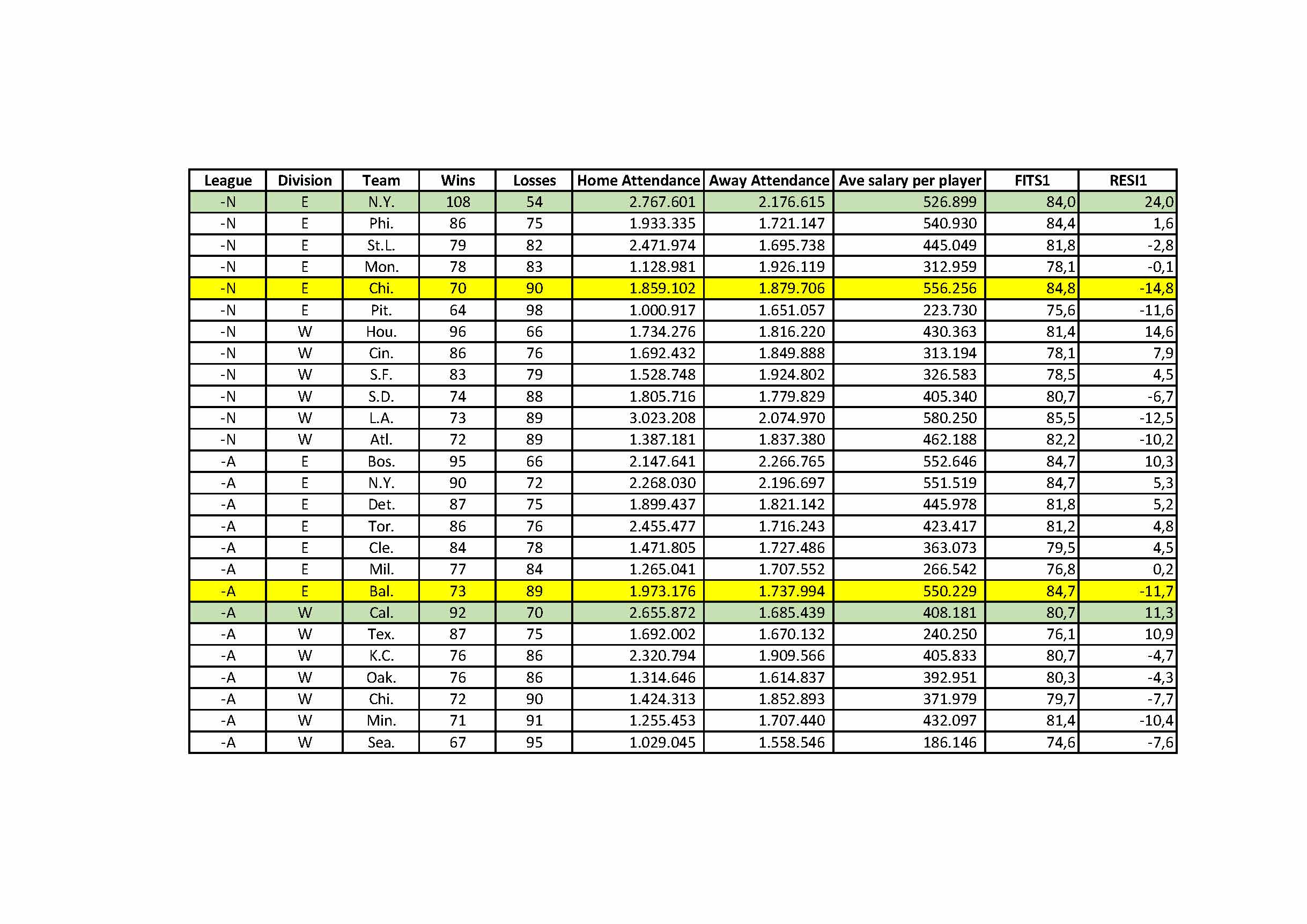
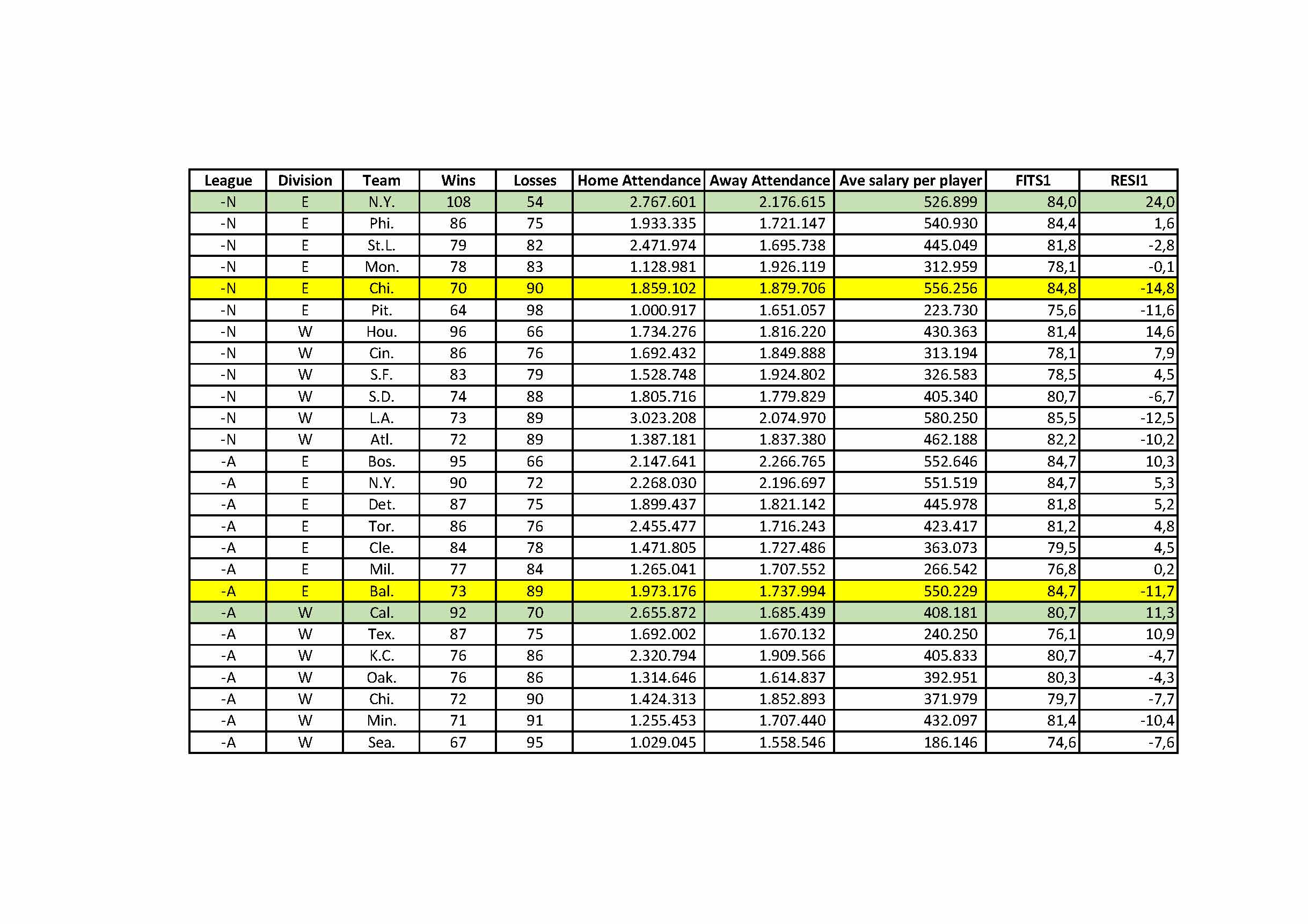
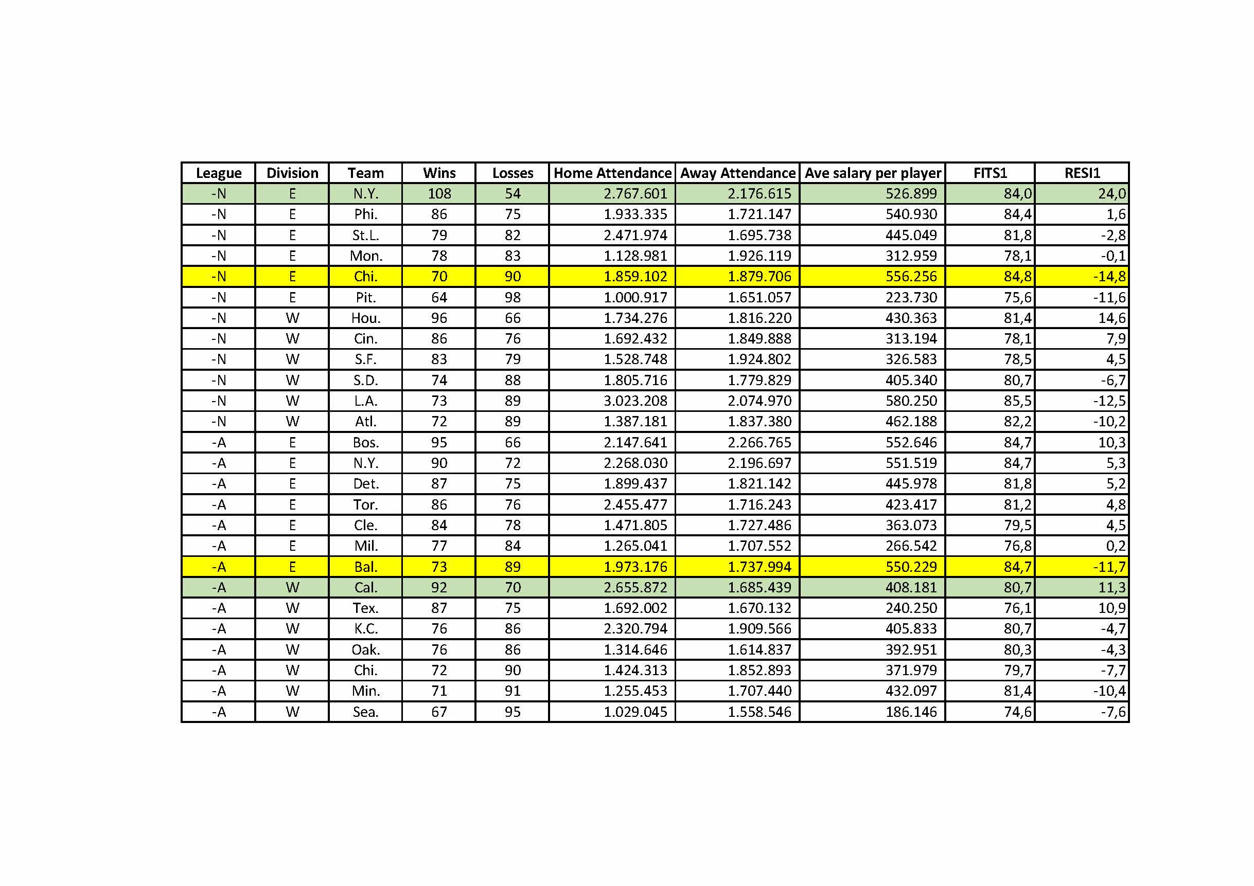
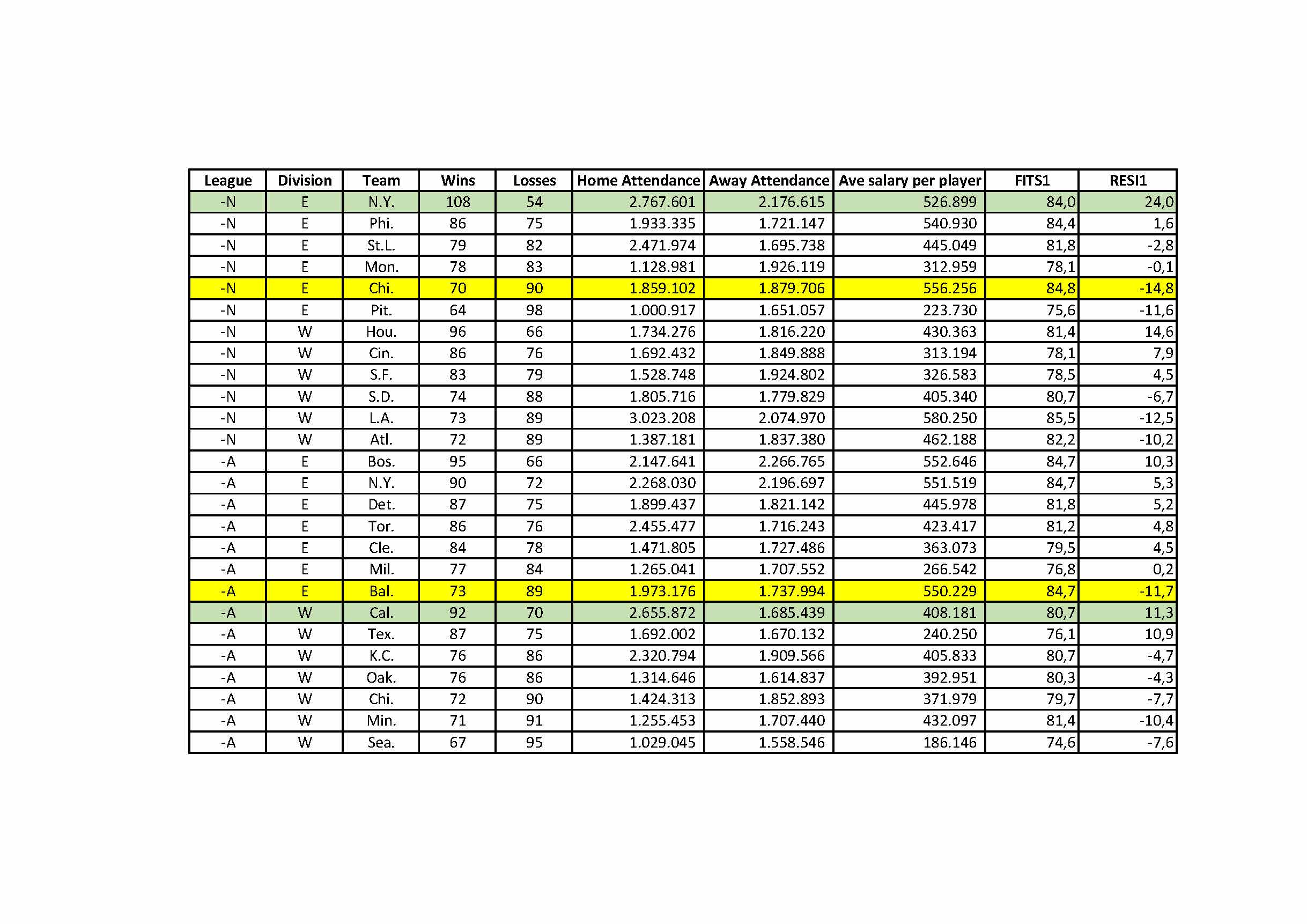
Case 1 Major League Baseball Salaries: “Why They Make What T...
Case 1 Major League Baseball Salaries: “Why They Make What They...