Subjects
Online Tutoring
Homework Help
Homework Library
Tutors
Online Classes
More
Bookstore
Blog
Technical Tips
FAQ
Contact Us
Get Help Now
Home
Homework Library
Business
Econometrics
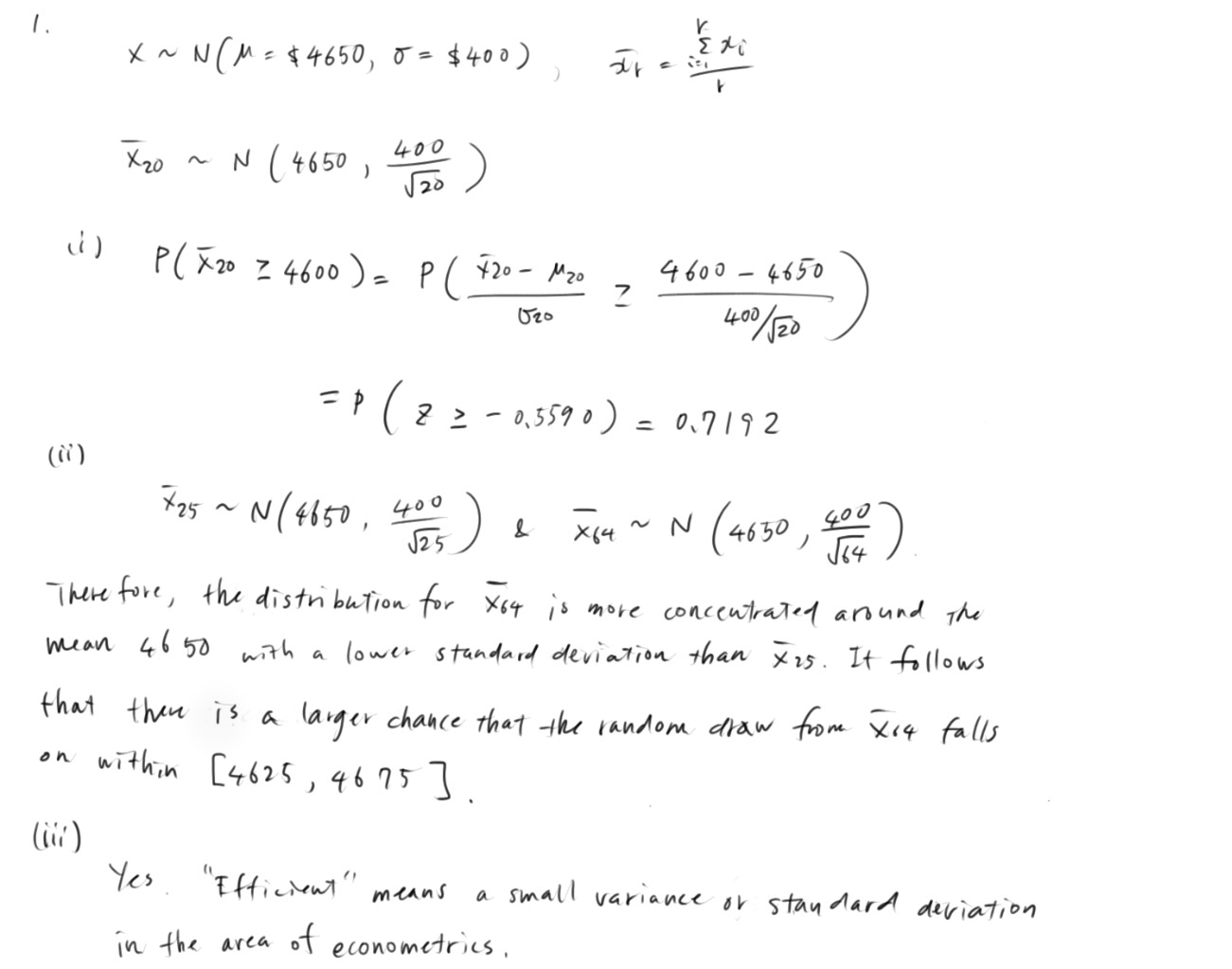
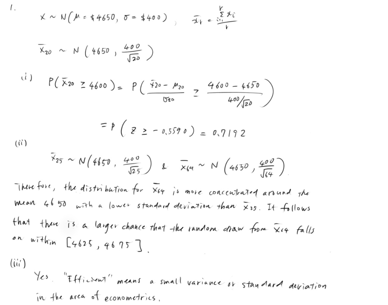
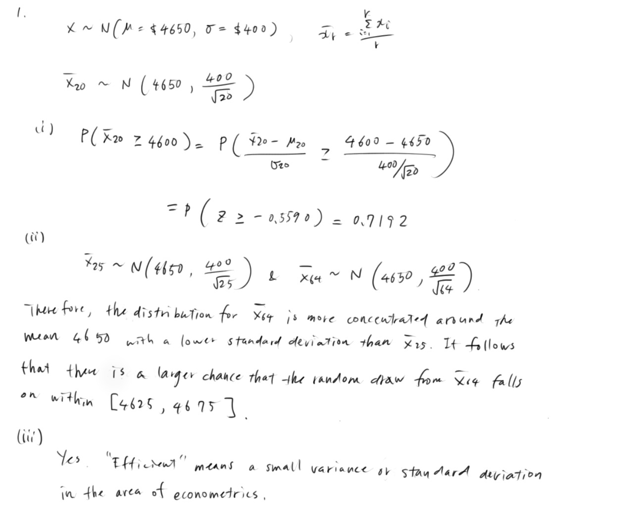
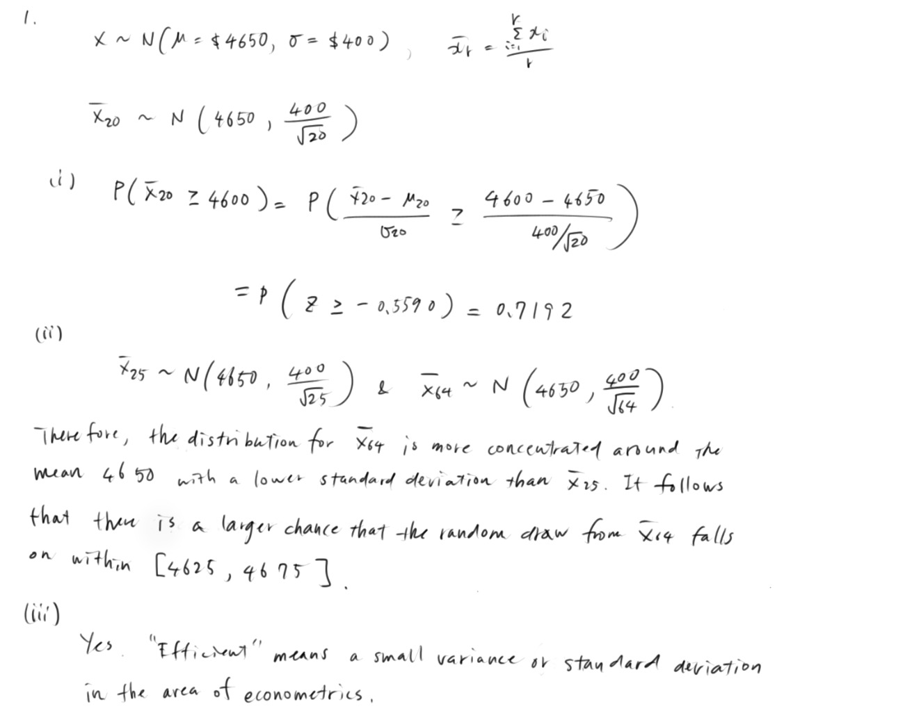
1. ( 25 points) (a) (13 points). Suppose individual annual incomes...
1. ( 25 points) (a) (13 points). Suppose individual annual incomes...