Subjects
Online Tutoring
Homework Help
Homework Library
Tutors
Online Classes
More
Bookstore
Blog
Technical Tips
FAQ
Contact Us
Get Help Now
Home
Homework Library
Business
Econometrics
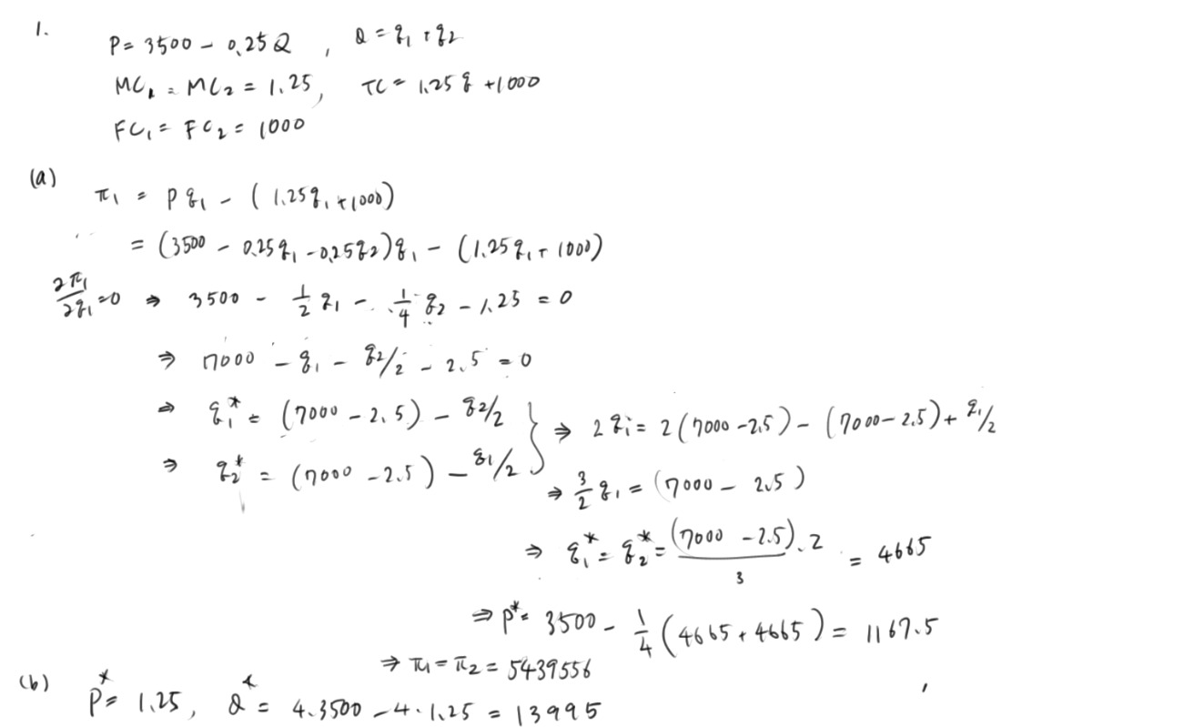
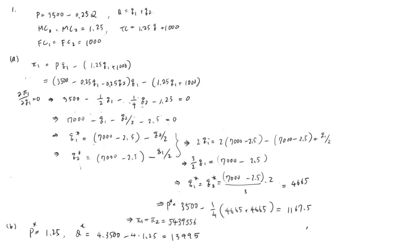
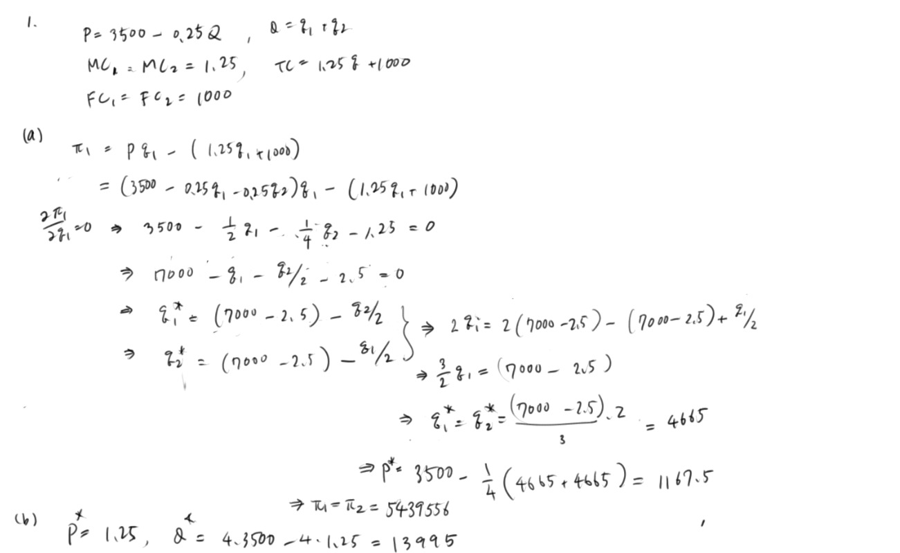
1. You live in a town with two hospitals. The market demand curve f...
1. You live in a town with two hospitals. The market demand curve f...