Subjects
Online Tutoring
Homework Help
Homework Library
Tutors
Online Classes
More
Bookstore
Blog
Technical Tips
FAQ
Contact Us
Get Help Now
Home
Homework Library
Business
Econometrics
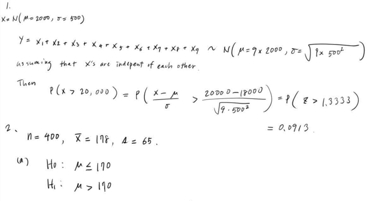
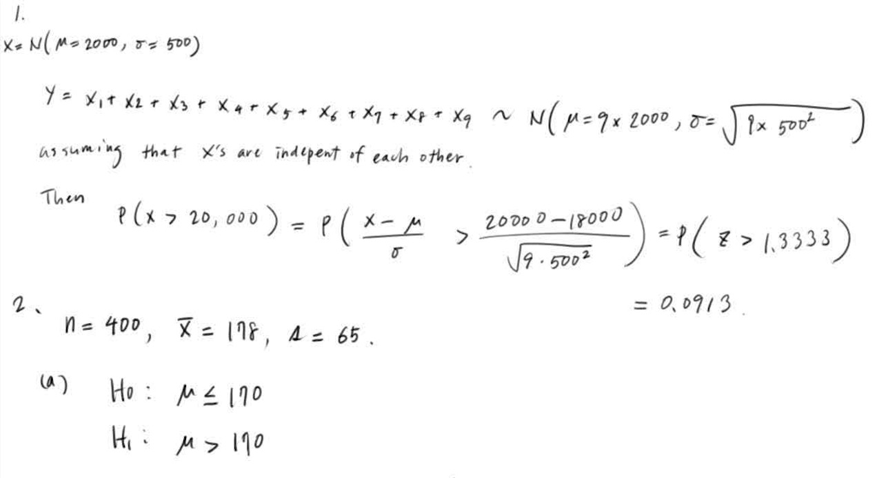
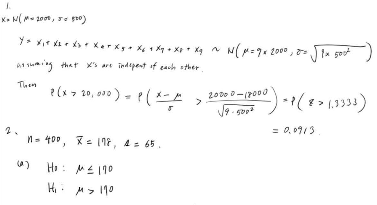
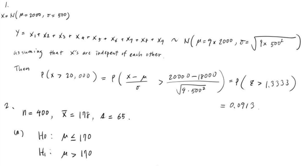
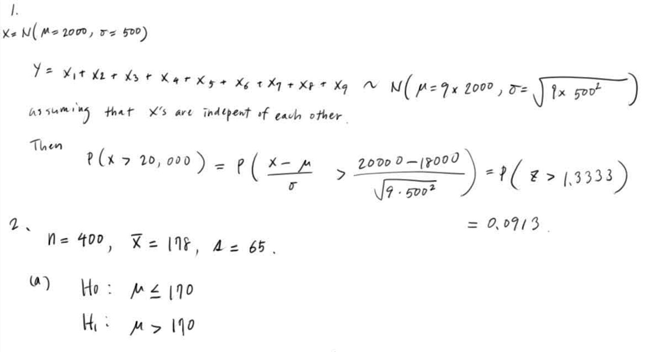
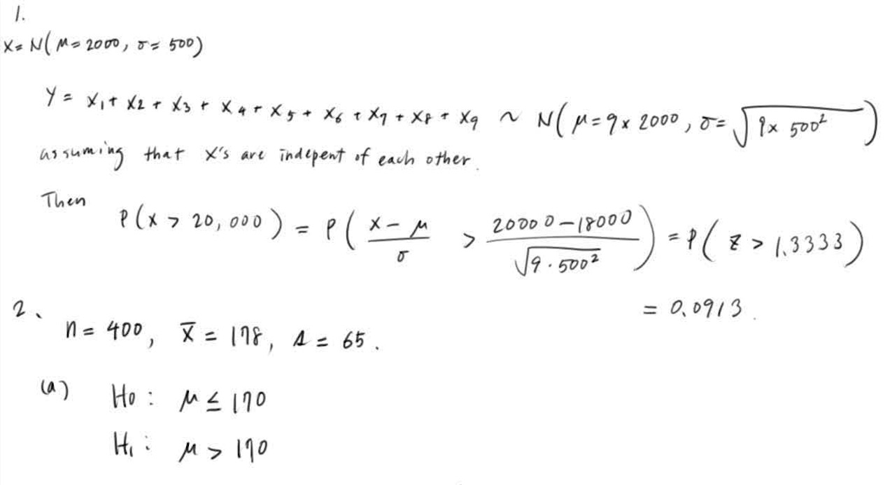
1. The hourly sales of fried chicken at Louisiana Fried Chicken are...
1. The hourly sales of fried chicken at Louisiana Fried Chicken are...