Subjects
Online Tutoring
Homework Help
Homework Library
Tutors
Online Classes
More
Bookstore
Blog
Technical Tips
FAQ
Contact Us
Get Help Now
Home
Homework Library
Business
Econometrics
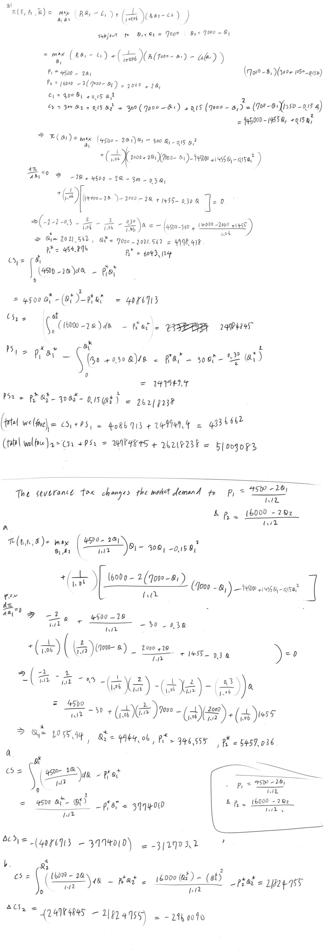
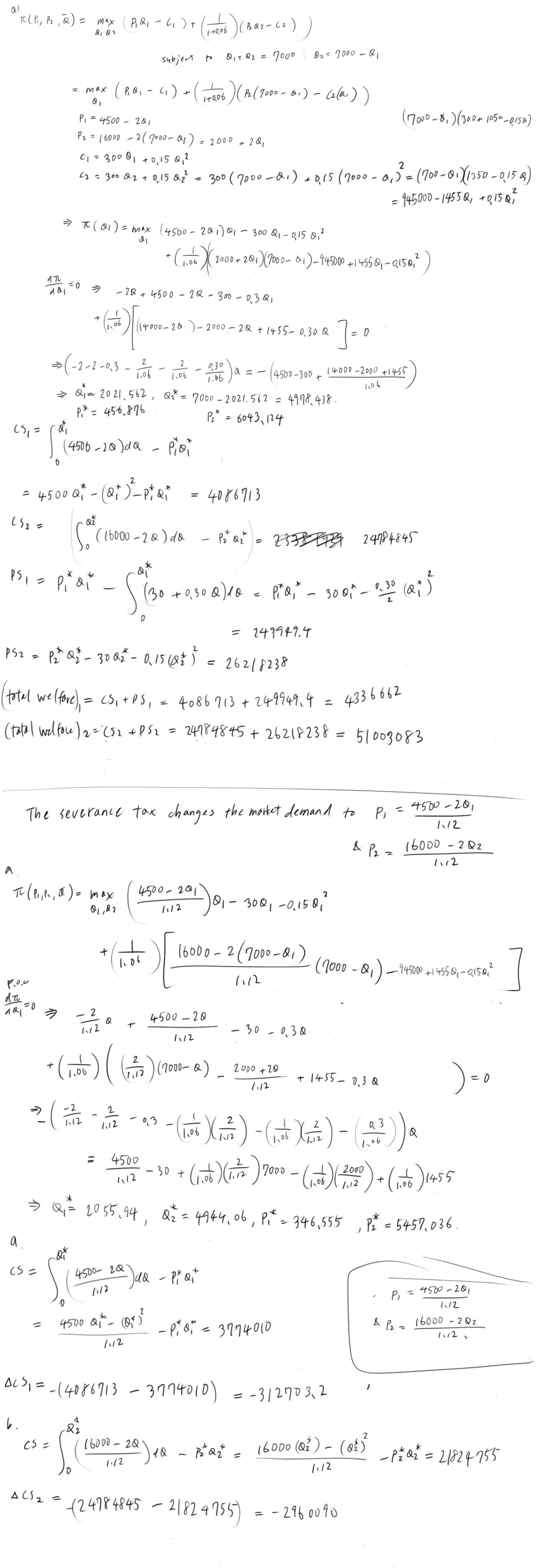
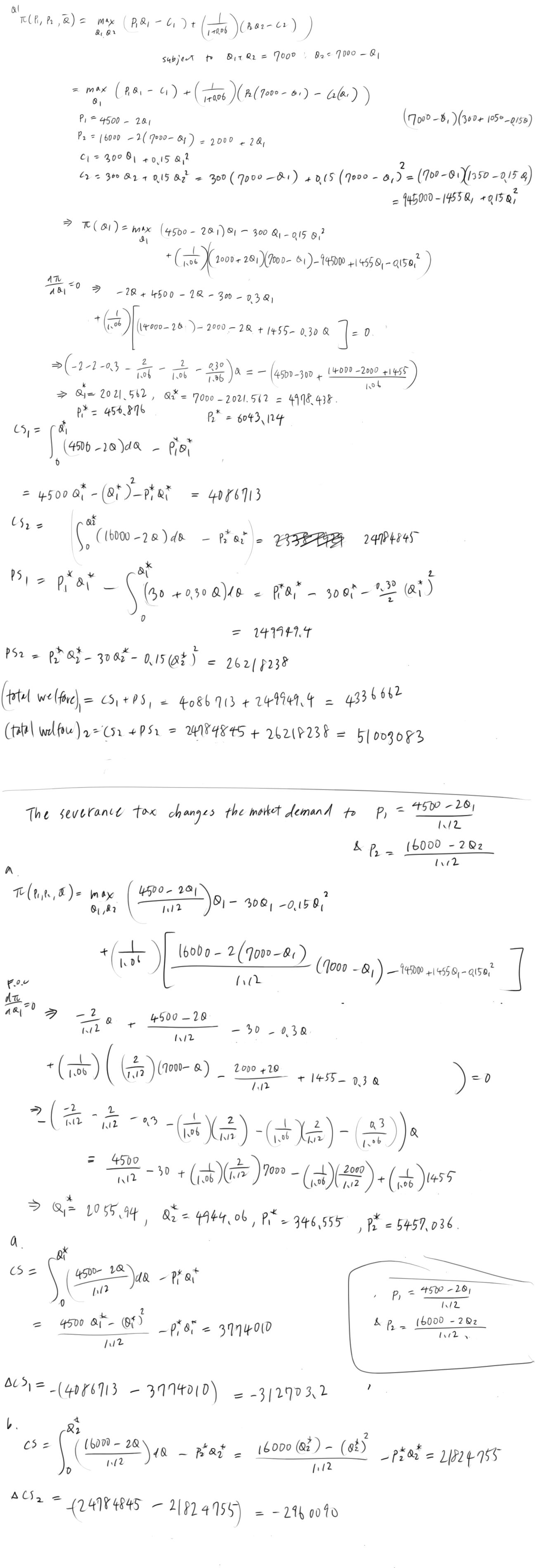
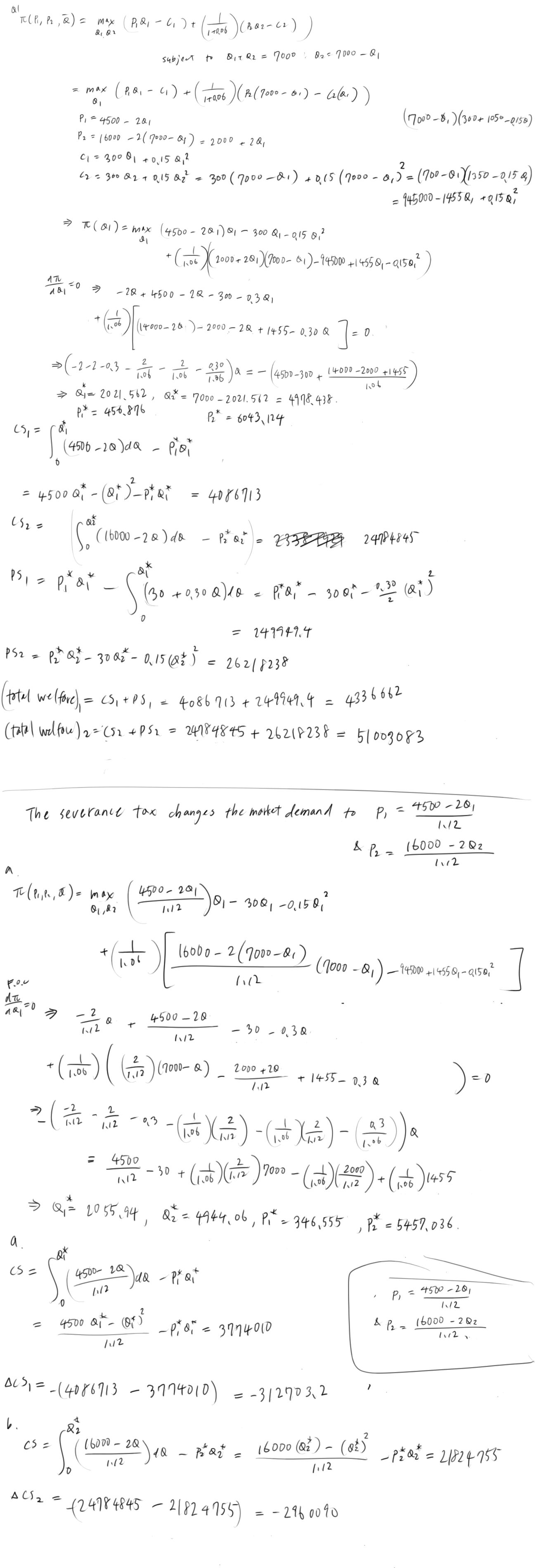
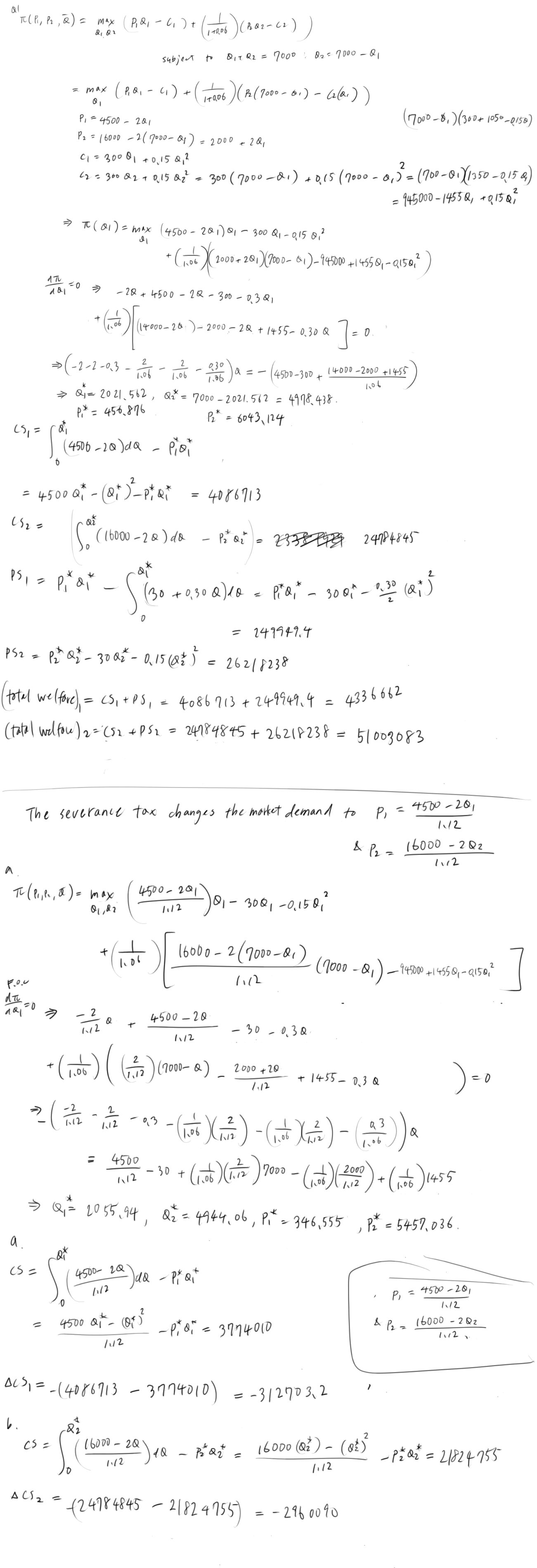
Question 1: The Pennsylvania state governor is considering imposin...
Question 1: The Pennsylvania state governor is considering imposin...