Subjects
Online Tutoring
Homework Help
Homework Library
Tutors
Online Classes
More
Bookstore
Blog
Technical Tips
FAQ
Contact Us
Get Help Now
Home
Homework Library
Business
Econometrics
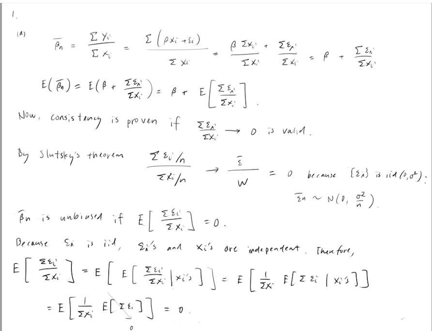
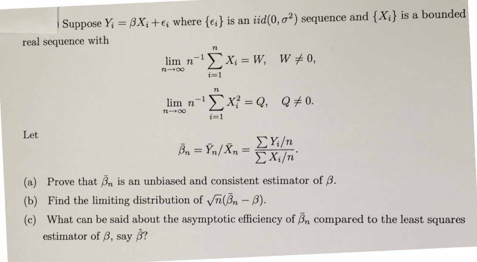
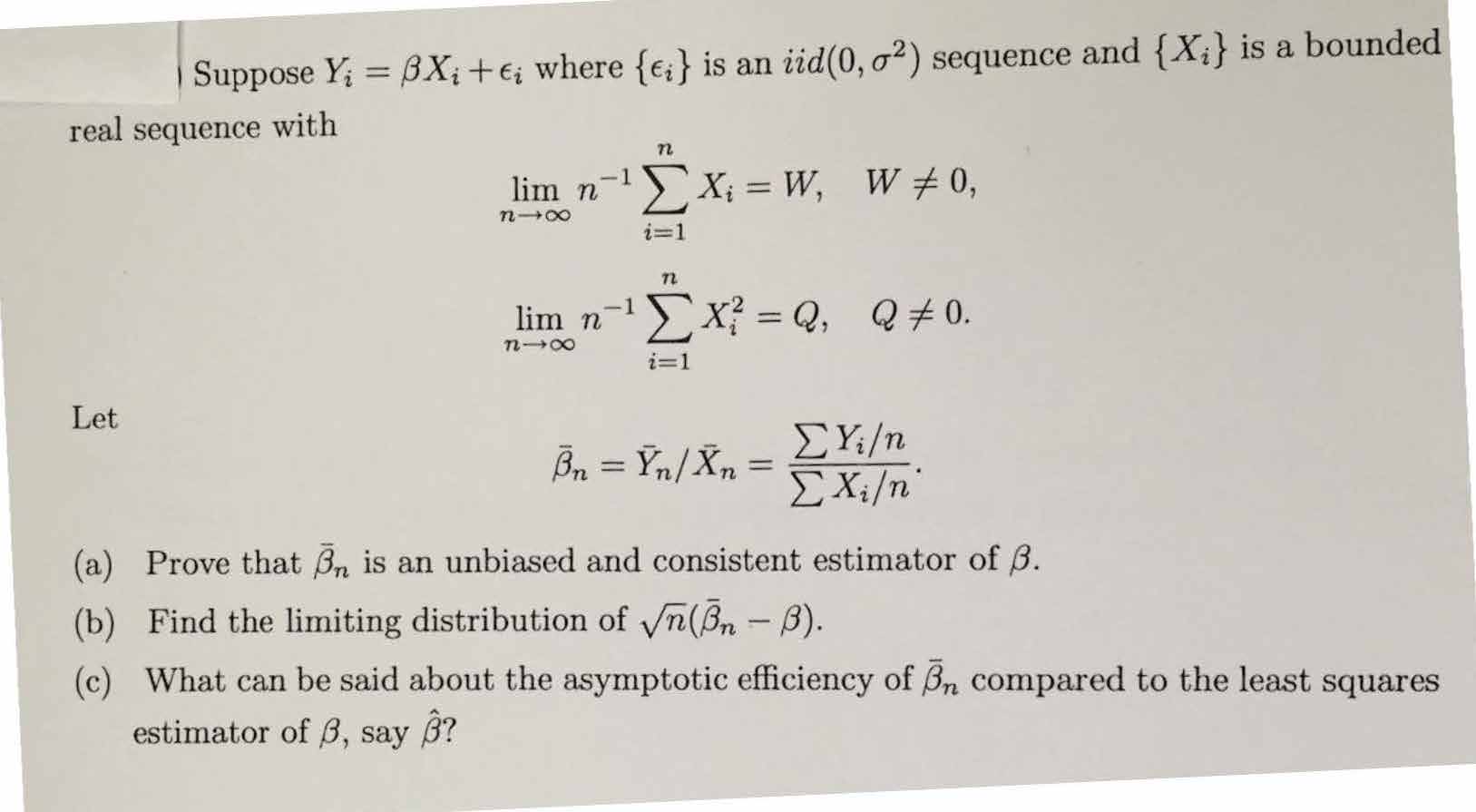
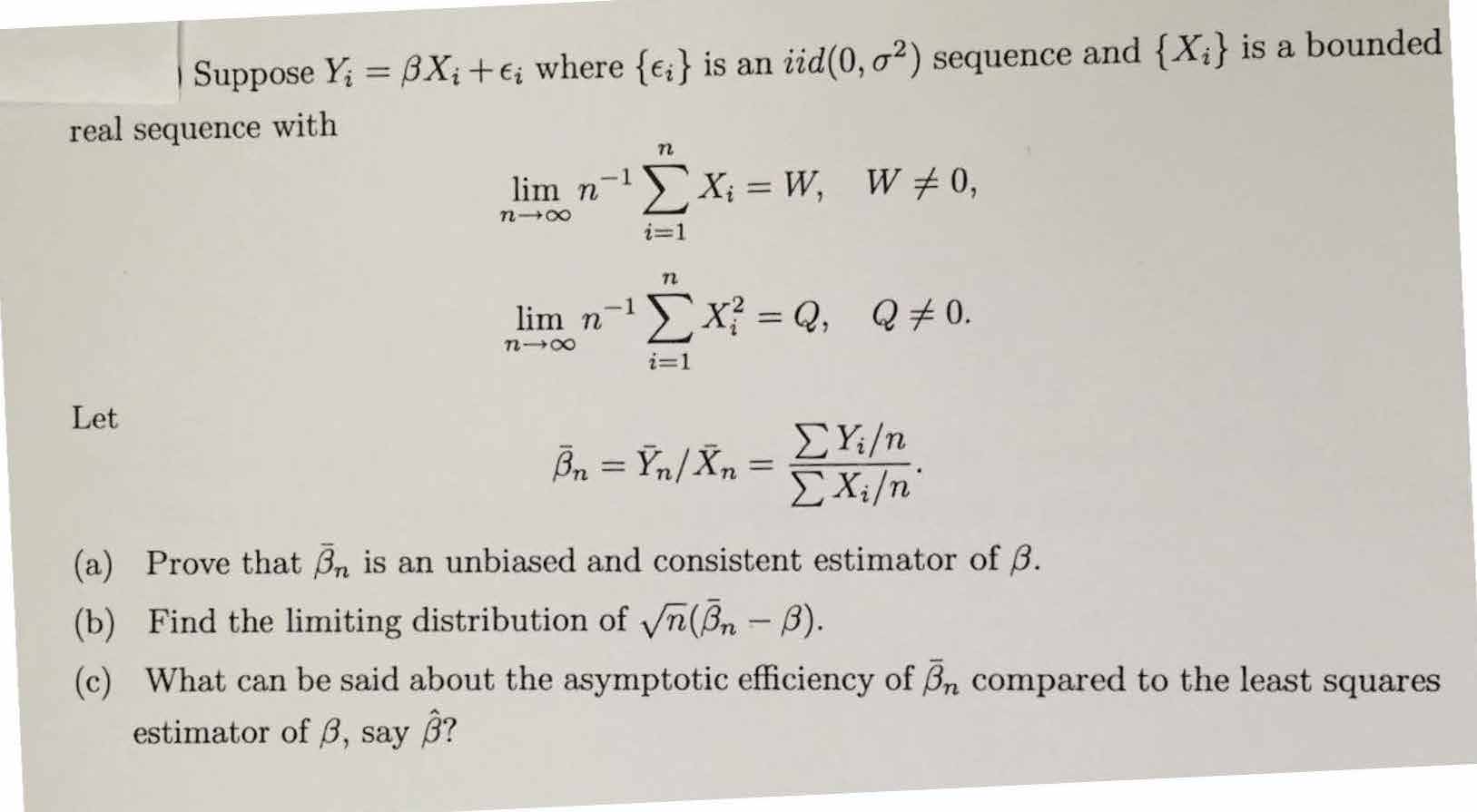
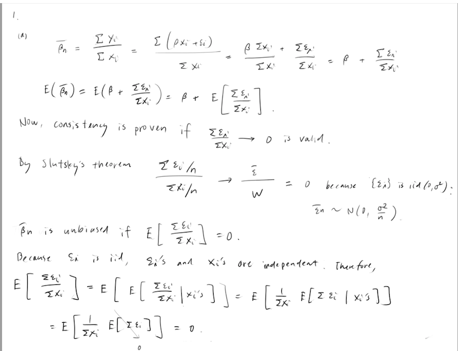
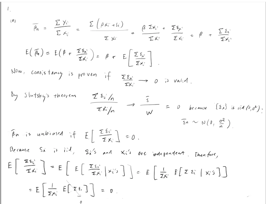
1 Suppose ½ = f3Xi + Ei where { Ei} is an iid(O, a 2 ) sequence...
1 Suppose ½ = f3Xi + Ei where { Ei} is an iid(O, a 2 ) sequence a...