Subjects
Online Tutoring
Homework Help
Homework Library
Tutors
Online Classes
More
Bookstore
Blog
Technical Tips
FAQ
Contact Us
Get Help Now
Home
Homework Library
Business
Econometrics
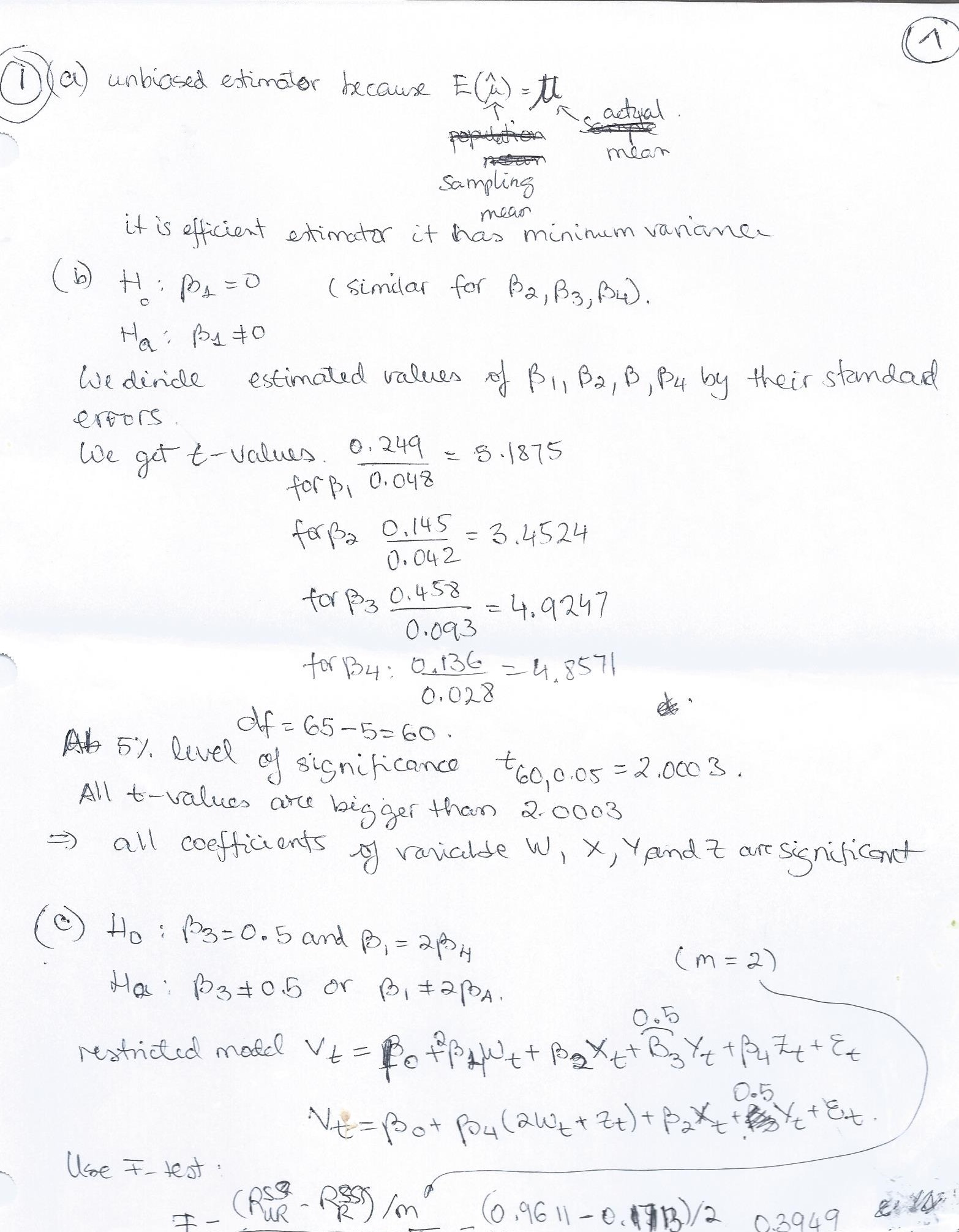
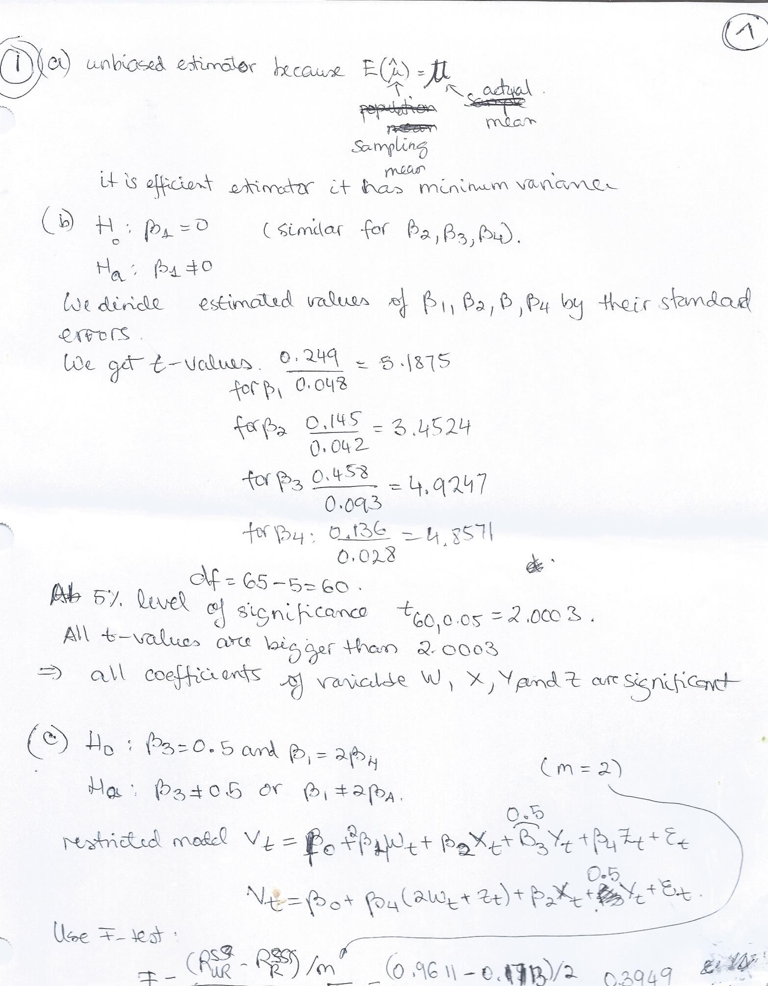
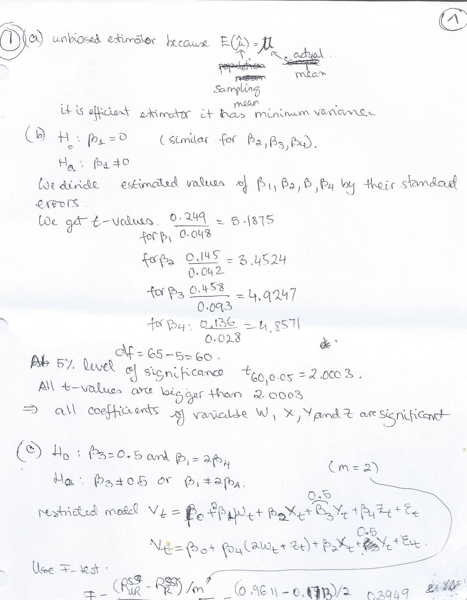
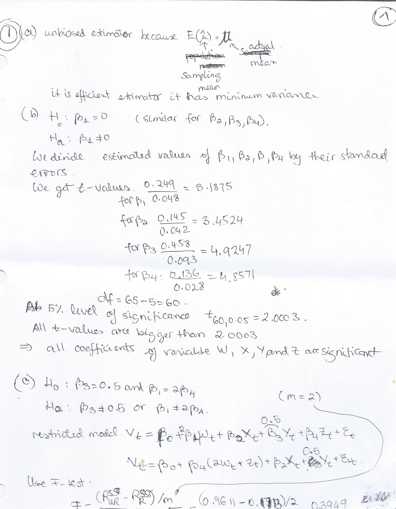
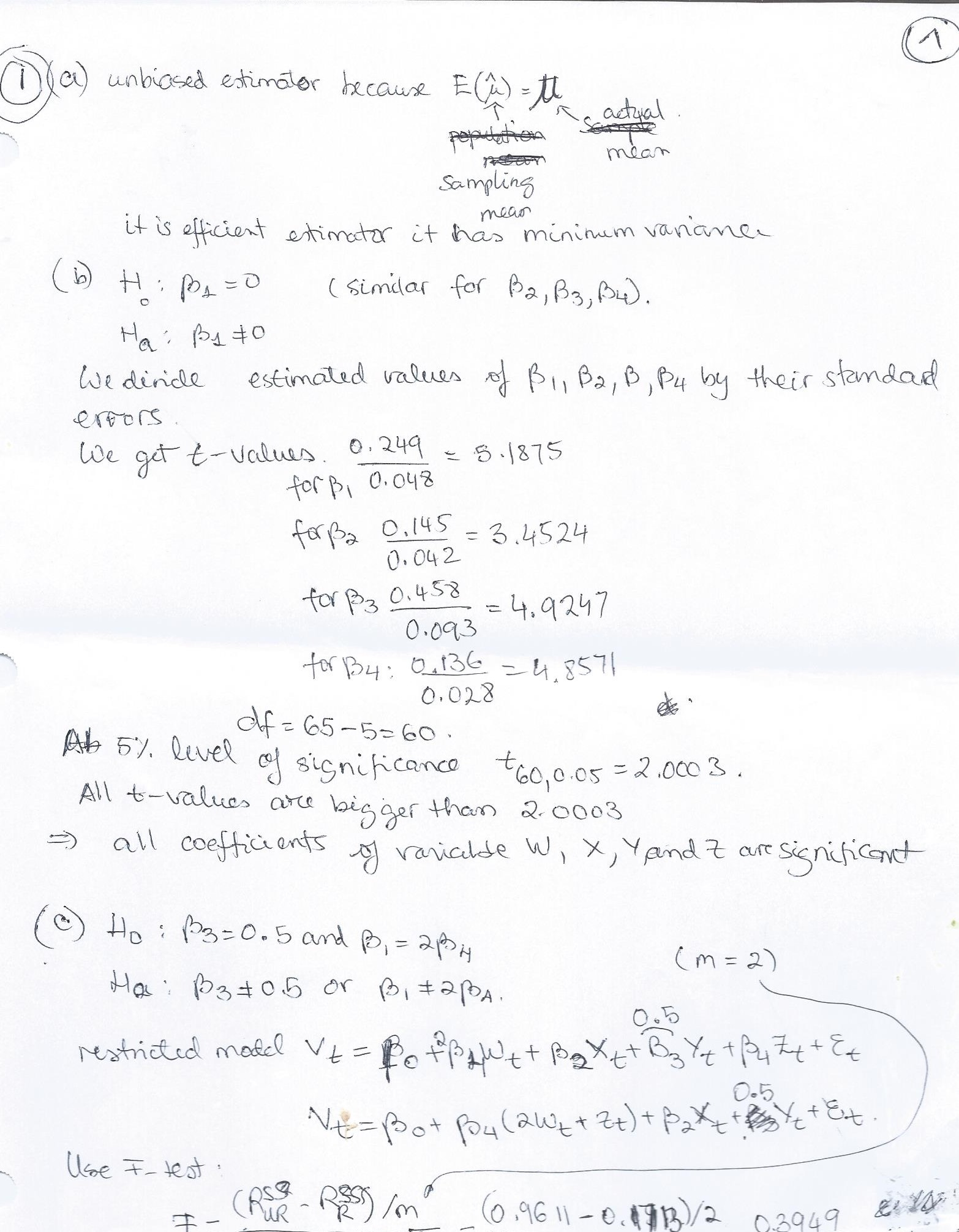
Section A 1. Suppose we are interested in estimating the following...
Section A 1. Suppose we are interested in estimating the following...