Subjects
Online Tutoring
Homework Help
Homework Library
Tutors
More
Bookstore
Blog
Technical Tips
FAQ
Contact Us
Get Help Now
Home
Homework Library
Business
Econometrics
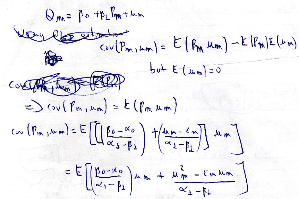
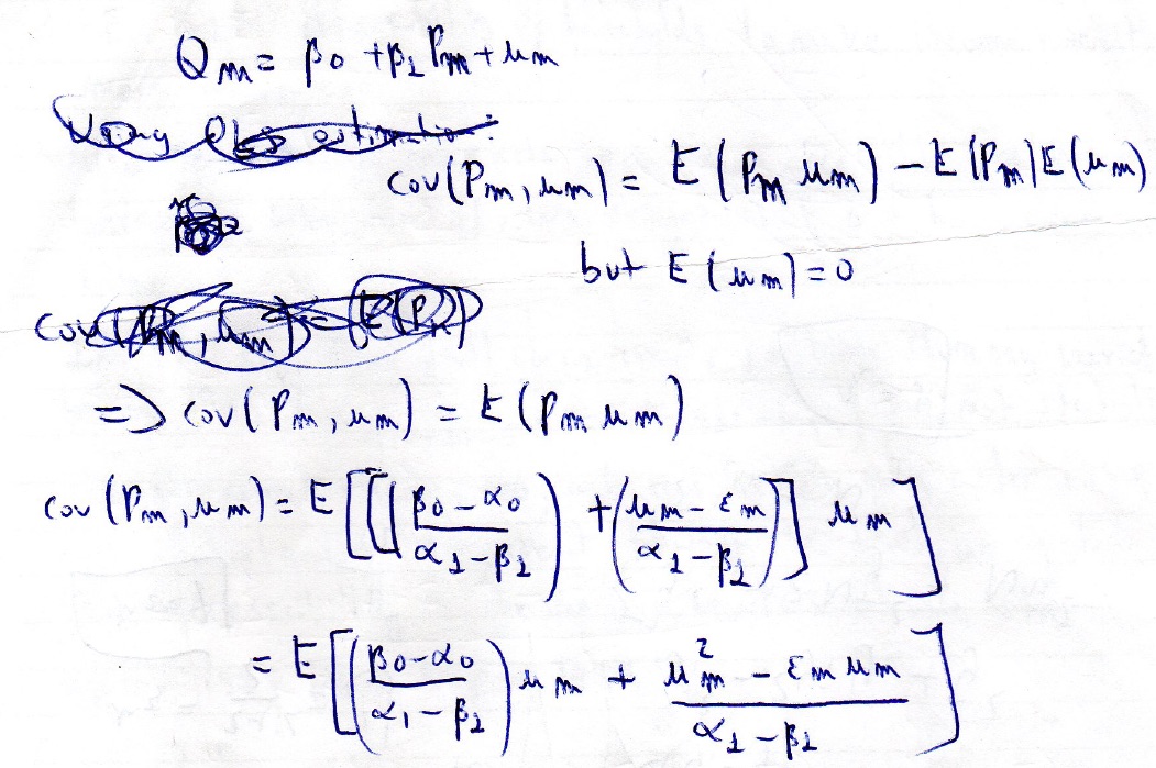
1 Theory Questions Question 1 In this problem we will understand...
1 Theory Questions Question 1 In this problem we will understand...