Subjects
Online Tutoring
Homework Help
Homework Library
Tutors
Online Classes
More
Bookstore
Blog
Technical Tips
FAQ
Contact Us
Get Help Now
Home
Homework Library
Business
Econometrics
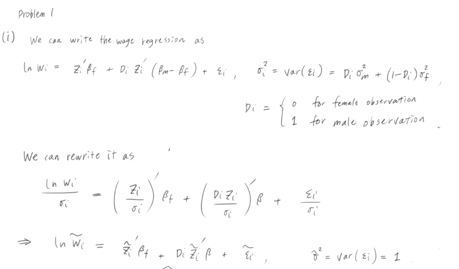
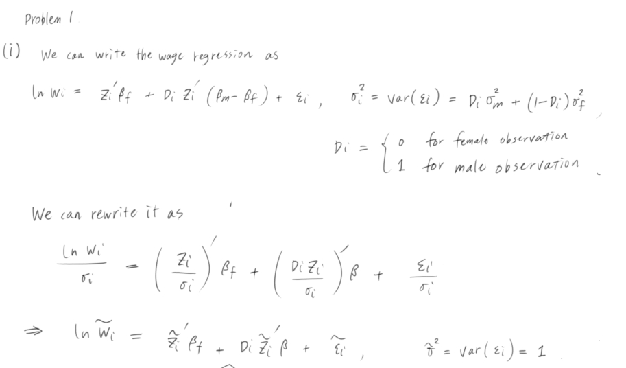
1 PROBLEM SET Problem 1 If a vector x of random variables has a n...
1 PROBLEM SET Problem 1 If a vector x of random variables has a n...