Subjects
Online Tutoring
Homework Help
Homework Library
Tutors
More
Bookstore
Blog
Technical Tips
FAQ
Contact Us
Get Help Now
Home
Homework Library
Business
Econometrics
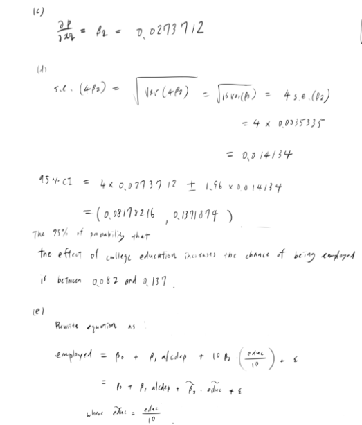
2 Question 1 [20 points]: Does alcohol dependency interfere with ...
2 Question 1 [20 points]: Does alcohol dependency interfere with...