Subjects
Online Tutoring
Homework Help
Homework Library
Tutors
Online Classes
More
Bookstore
Blog
Technical Tips
FAQ
Contact Us
Get Help Now
Home
Homework Library
Business
Econometrics
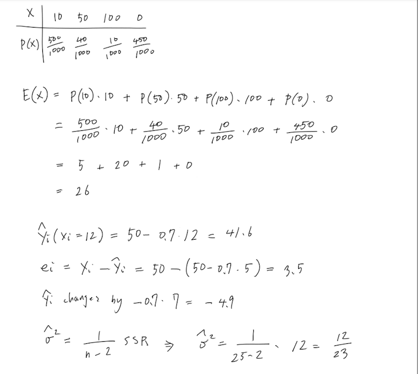
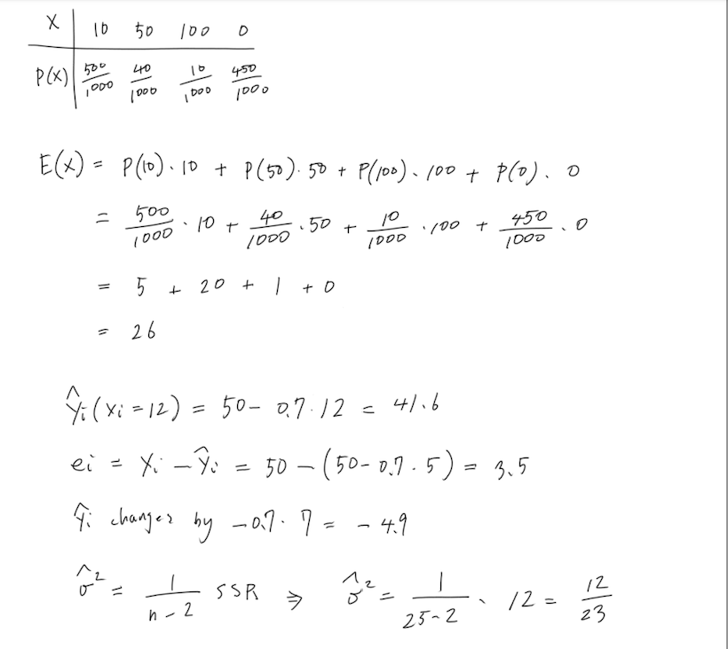
In a lottery game there are 500 prizes of $10, 40 prizes of $50, a...
In a lottery game there are 500 prizes of $10, 40 prizes of $50, a...