Subjects
Online Tutoring
Homework Help
Homework Library
Tutors
Online Classes
More
Bookstore
Blog
Technical Tips
FAQ
Contact Us
Get Help Now
Home
Homework Library
Business
Econometrics
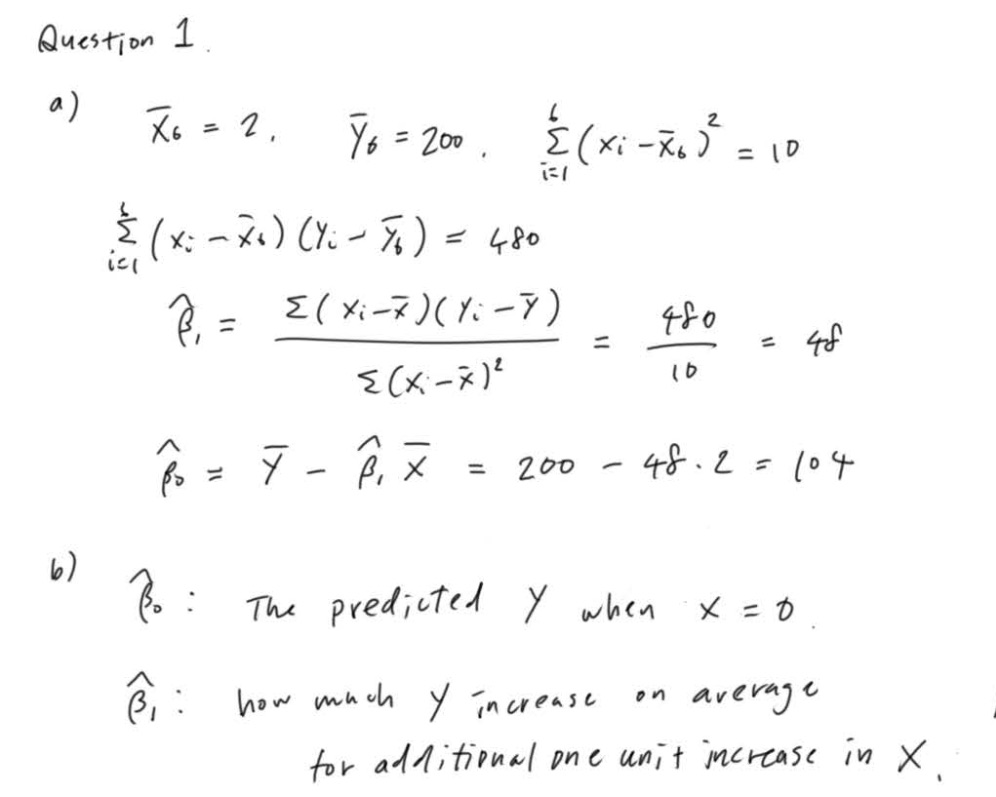
ECONOMETRIC METHODS QUESTION 1 ALL WORKING MUST BE SHOWN IN YOU...
ECONOMETRIC METHODS QUESTION 1 ALL WORKING MUST BE SHOWN IN YOU...