Subjects
Online Tutoring
Homework Help
Homework Library
Tutors
Online Classes
More
Bookstore
Blog
Technical Tips
FAQ
Contact Us
Get Help Now
Home
Homework Library
Business
Econometrics
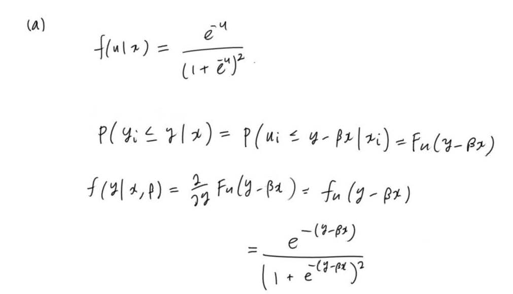
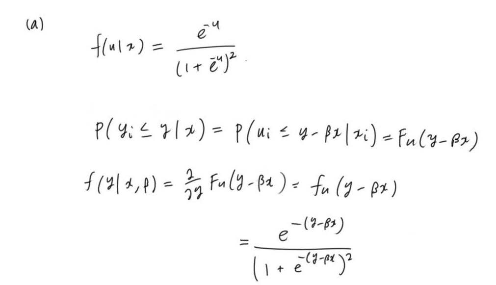
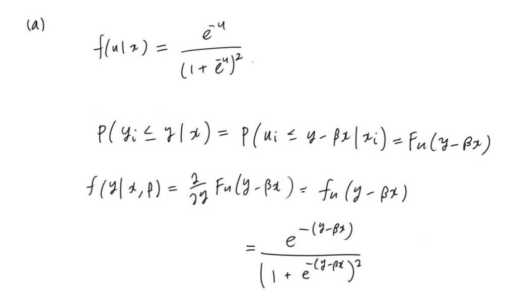
Question: Consider the following parametric model: ettle y = Bx +...
Question: Consider the following parametric model: ettle y = Bx +...