Subjects
Online Tutoring
Homework Help
Homework Library
Tutors
Online Classes
More
Bookstore
Blog
Technical Tips
FAQ
Contact Us
Get Help Now
Home
Homework Library
Business
Economics
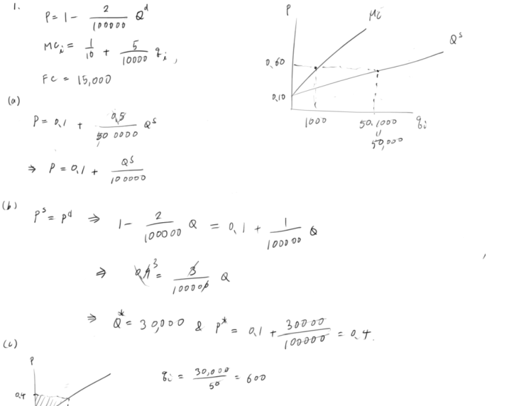
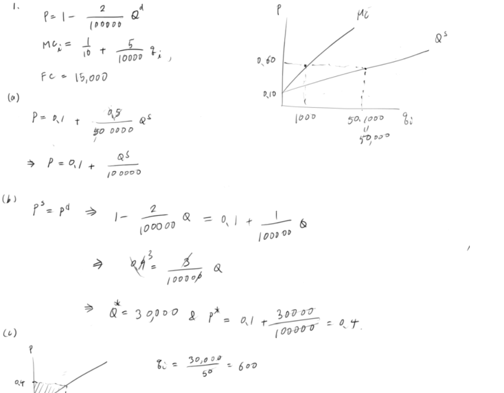
Be sure to explain what you are doing and show your work in the num...
Be sure to explain what you are doing and show your work in the num...