Subjects
Online Tutoring
Homework Help
Homework Library
Tutors
Online Classes
More
Bookstore
Blog
Technical Tips
FAQ
Contact Us
Get Help Now
Home
Homework Library
Business
Economics
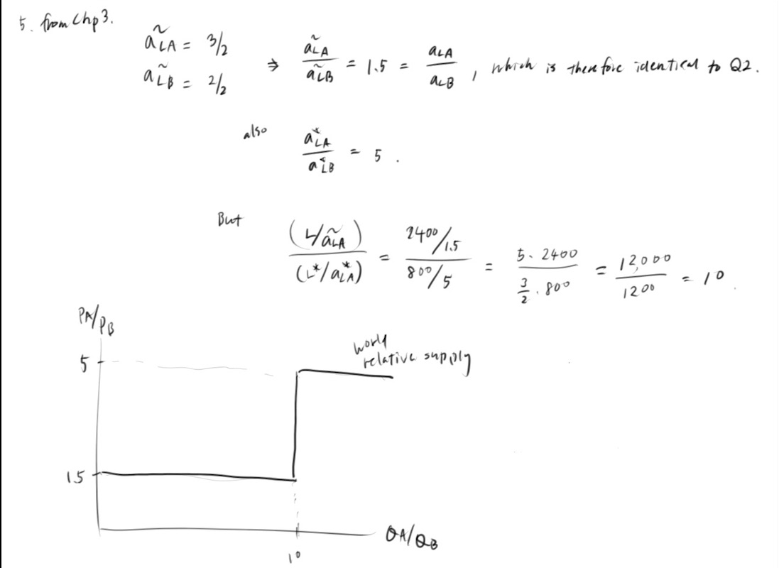
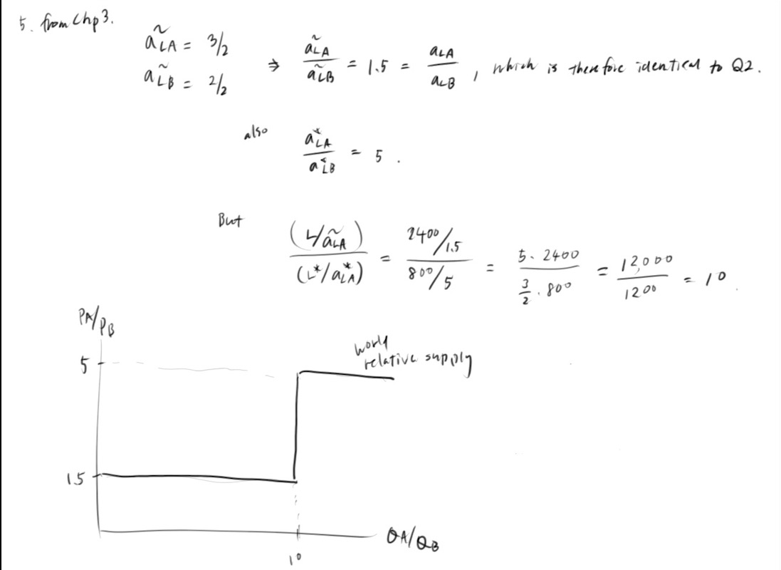
Suppose that instead of 1200 workers Home had 2400. Find the equili...
Suppose that instead of 1200 workers Home had 2400. Find the equili...