Subjects
Online Tutoring
Homework Help
Homework Library
Tutors
More
Bookstore
Blog
Technical Tips
FAQ
Contact Us
Get Help Now
Home
Homework Library
Business
Economics
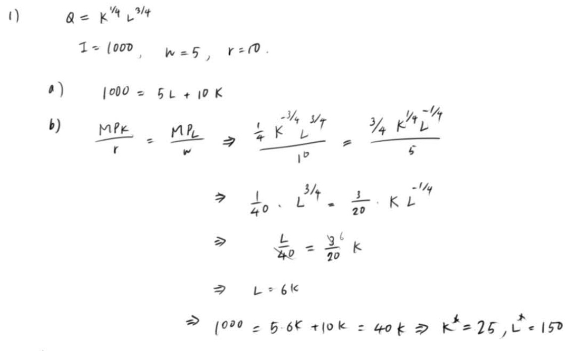
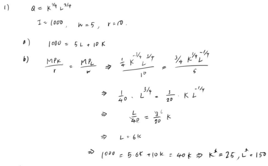
1) Let a production function exist such that Q = (K•251;75). ...
1) Let a production function exist such that Q = (K•251;75). Let...