Subjects
Online Tutoring
Homework Help
Homework Library
Tutors
Online Classes
More
Bookstore
Blog
Technical Tips
FAQ
Contact Us
Get Help Now
Home
Homework Library
Business
Economics
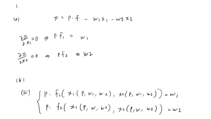
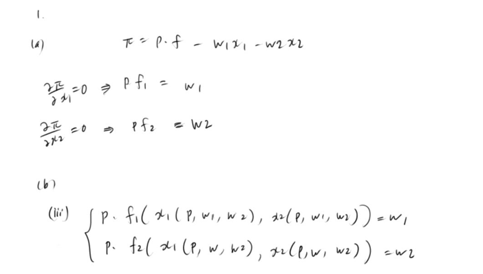
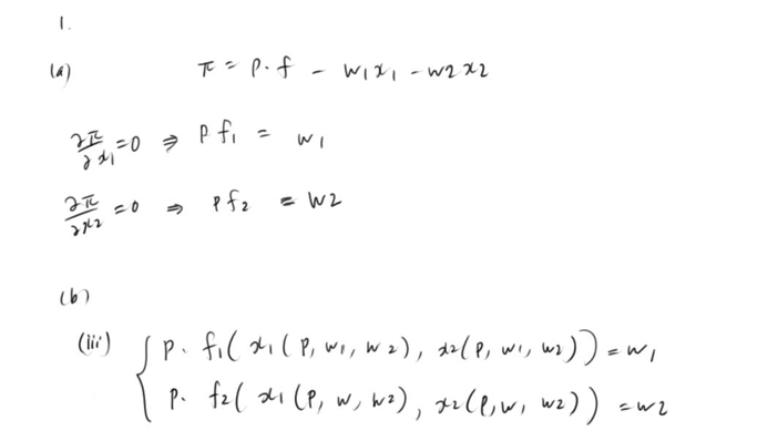
1. A firm has the following production function 9 = f(x1,x2). Suppo...
1. A firm has the following production function 9 = f(x1,x2). Suppo...