Subjects
Online Tutoring
Homework Help
Homework Library
Tutors
Online Classes
More
Bookstore
Blog
Technical Tips
FAQ
Contact Us
Get Help Now
Home
Homework Library
Business
Economics
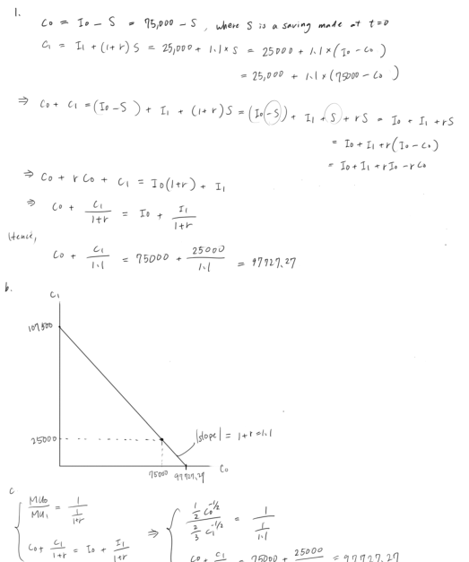
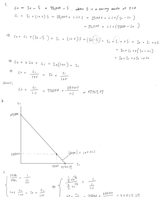
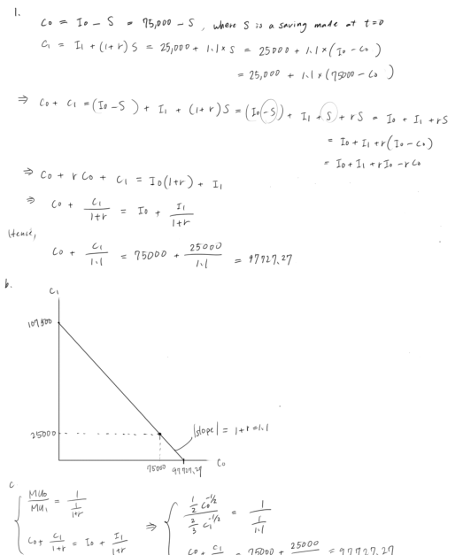
Part A (16 marks) 1. Ziggy has an income of $75,000 in period 0 an...
Part A (16 marks) 1. Ziggy has an income of $75,000 in period 0 an...