Subjects
Online Tutoring
Homework Help
Homework Library
Tutors
Online Classes
More
Bookstore
Blog
Technical Tips
FAQ
Contact Us
Get Help Now
Home
Homework Library
Business
Economics
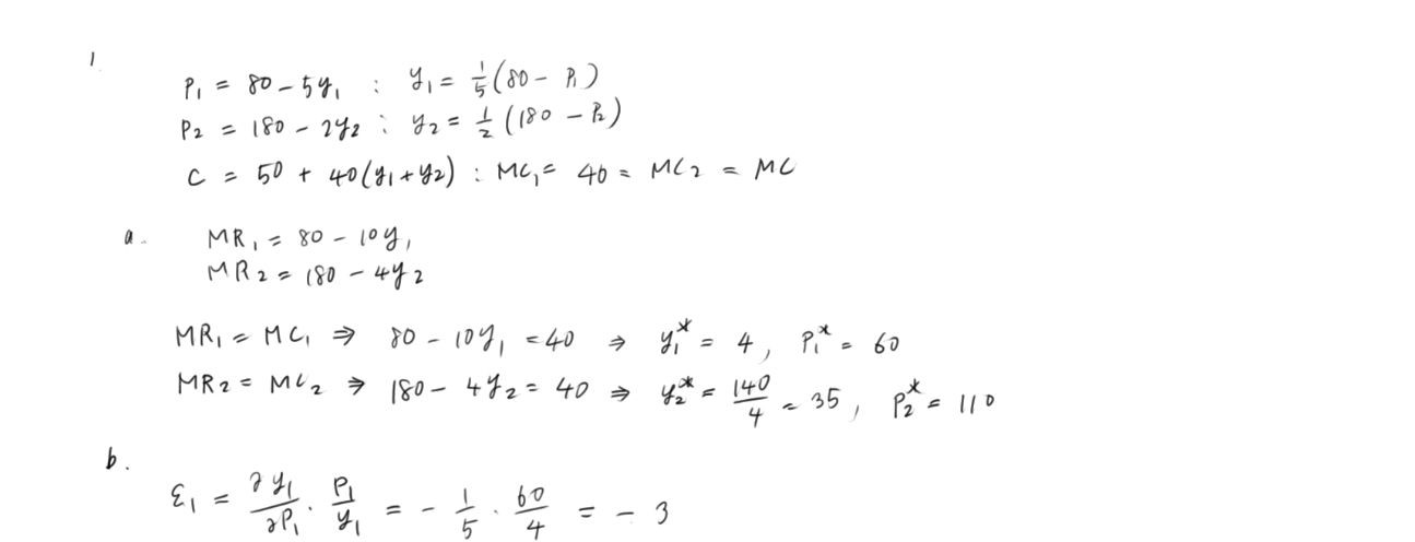
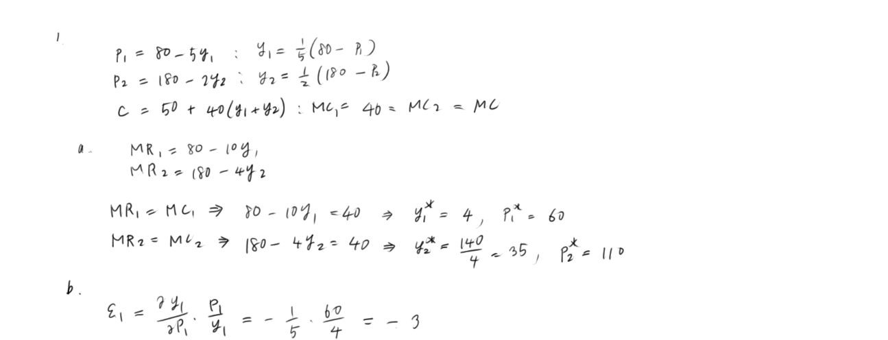
A3-01 (20 marks) Suppose the market demand can be separated into t...
A3-01 (20 marks) Suppose the market demand can be separated into t...