Subjects
Online Tutoring
Homework Help
Homework Library
Tutors
Online Classes
More
Bookstore
Blog
Technical Tips
FAQ
Contact Us
Get Help Now
Home
Homework Library
Business
Economics
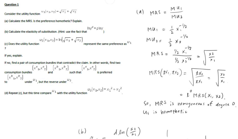
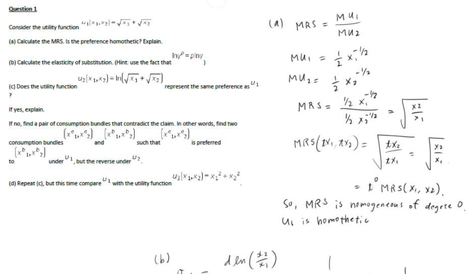
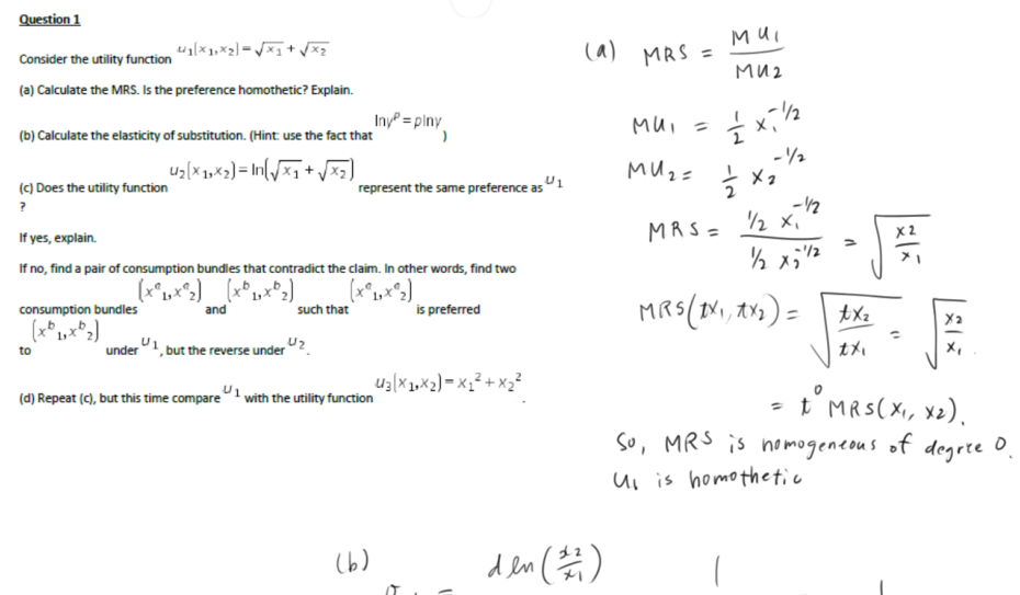
Question 1 Consider the utility function (a) Calculate the MRS...
Question 1 Consider the utility function (a) Calculate the MRS...