Subjects
Online Tutoring
Homework Help
Homework Library
Tutors
More
Bookstore
Blog
Technical Tips
FAQ
Contact Us
Get Help Now
Home
Homework Library
Business
Economics
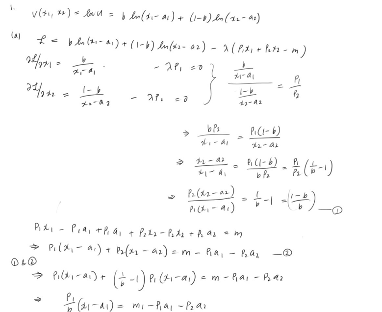
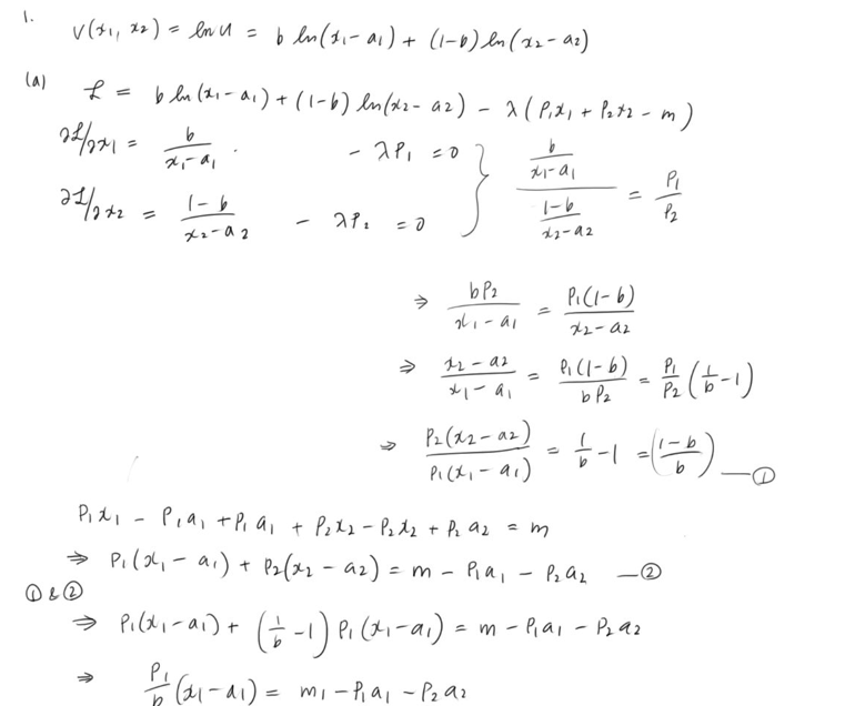
1. A consumer has the Stone-Geary utility function u(x1,x2) = (x1-...
1. A consumer has the Stone-Geary utility function u(x1,x2) = (x1-...