Subjects
Online Tutoring
Homework Help
Homework Library
Tutors
Online Classes
More
Bookstore
Blog
Technical Tips
FAQ
Contact Us
Get Help Now
Home
Homework Library
Business
Economics
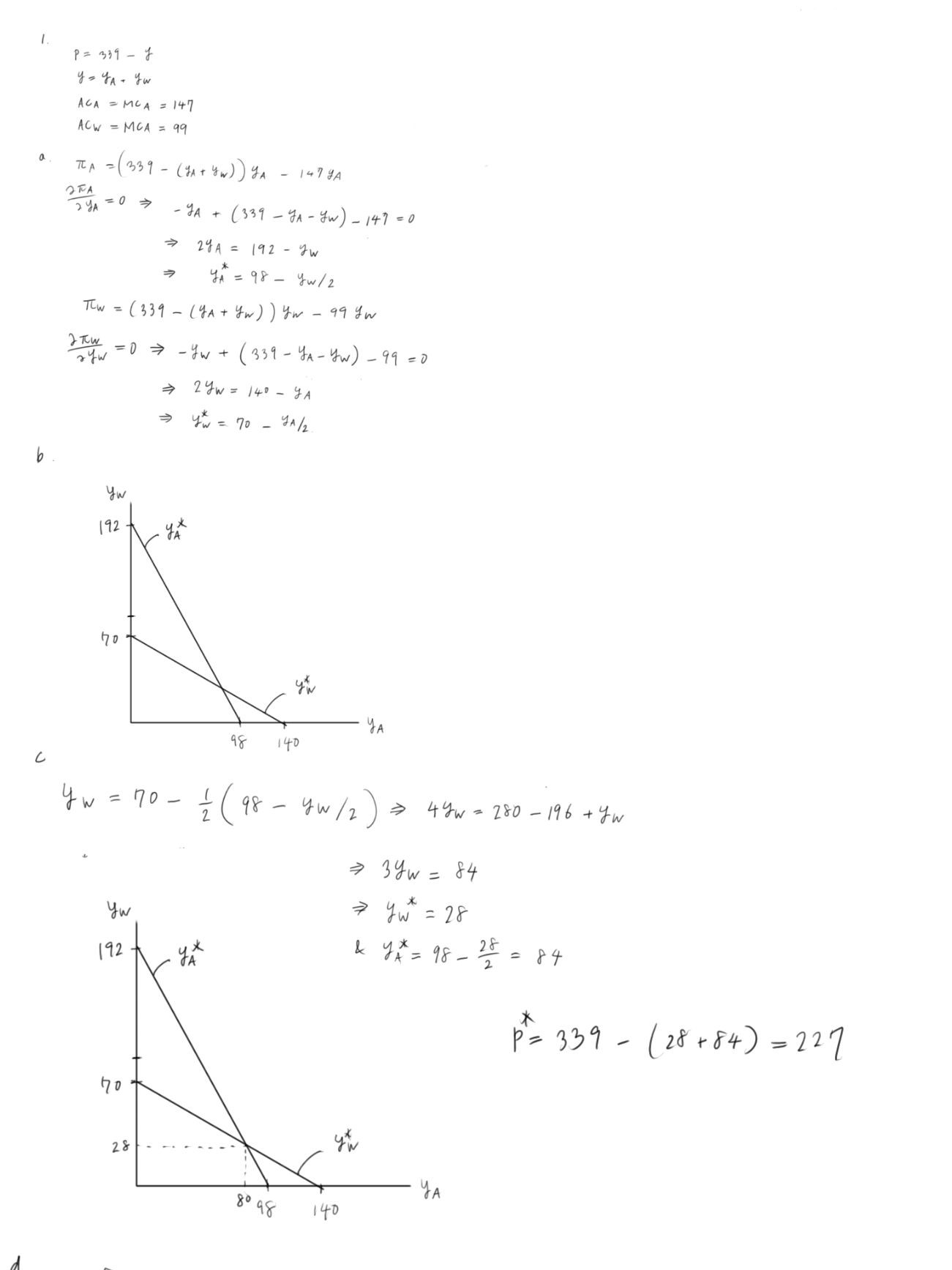
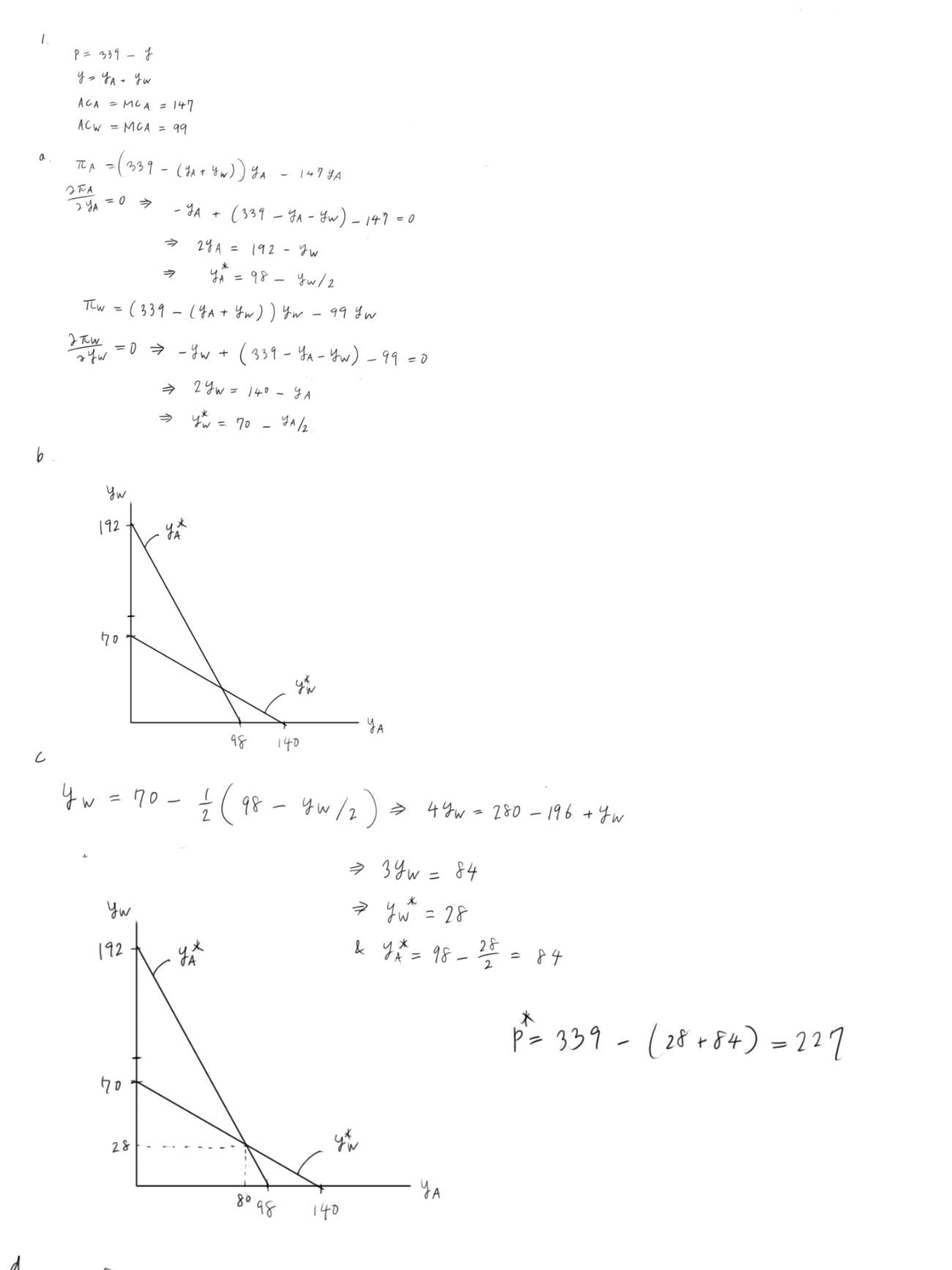
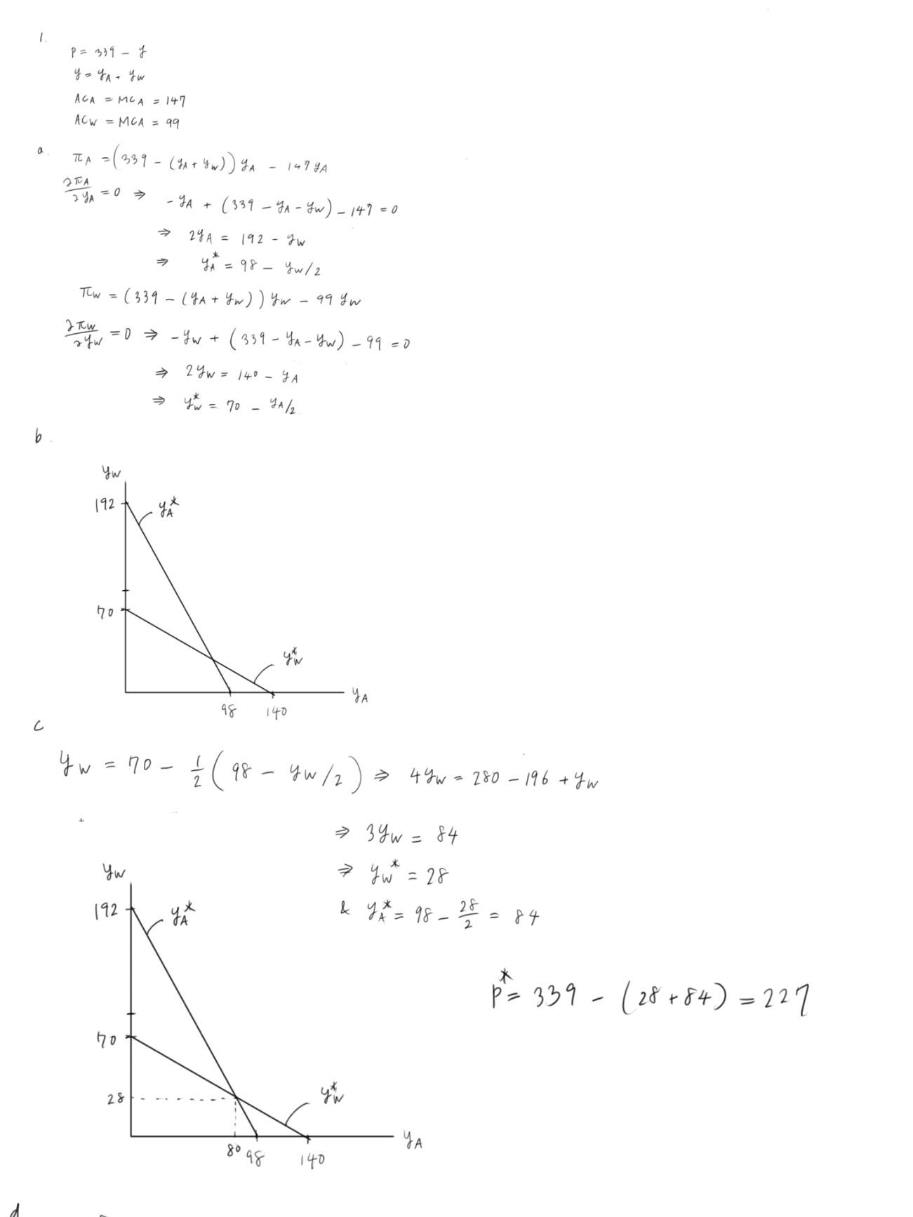
A4-01 (20 marks) Suppose Air Canada and WestJet compete as Cournot...
A4-01 (20 marks) Suppose Air Canada and WestJet compete as Cournot...