Subjects
Online Tutoring
Homework Help
Homework Library
Tutors
More
Bookstore
Blog
Technical Tips
FAQ
Contact Us
Get Help Now
Home
Homework Library
Business
Economics
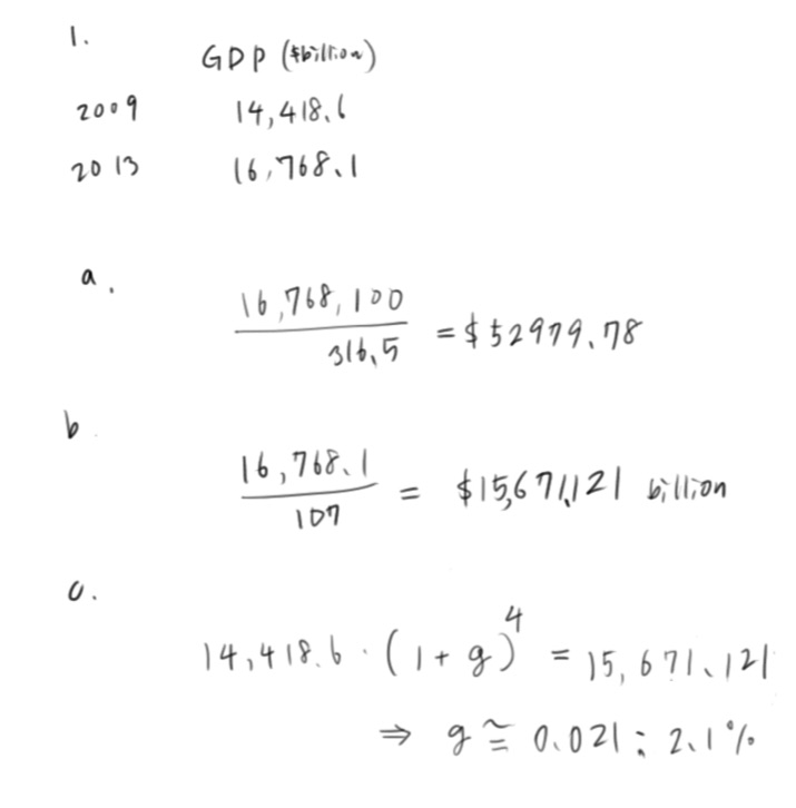
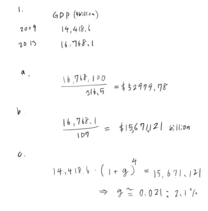
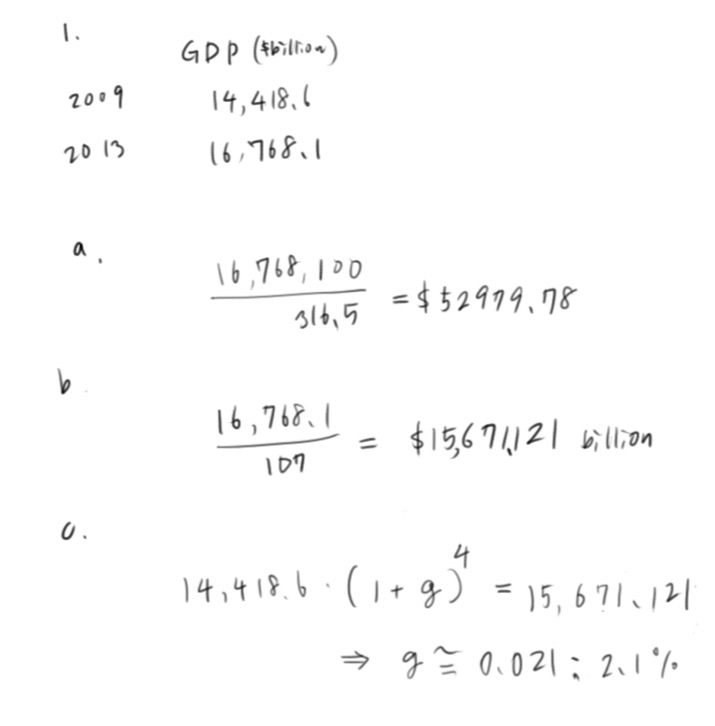
1. Check out the nominal GDP levels for U.S.A. in 2013 and 2009 fro...
1. Check out the nominal GDP levels for U.S.A. in 2013 and 2009 fro...