Subjects
Online Tutoring
Homework Help
Homework Library
Tutors
More
Bookstore
Blog
Technical Tips
FAQ
Contact Us
Get Help Now
Home
Homework Library
Business
Economics
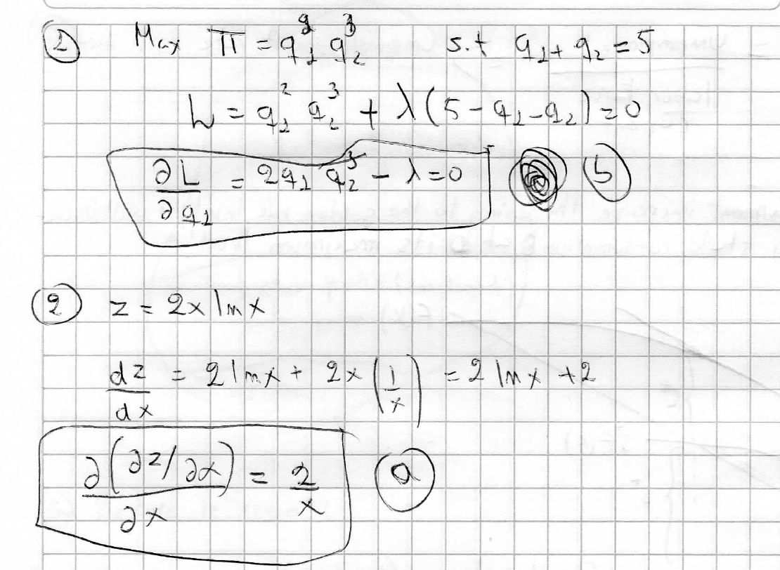
QUESTION 1 A firm produces tw·o products with output q I and q ...
QUESTION 1 A firm produces tw·o products with output q I and q re...