Subjects
Online Tutoring
Homework Help
Homework Library
Tutors
Online Classes
More
Bookstore
Blog
Technical Tips
FAQ
Contact Us
Get Help Now
Home
Homework Library
Business
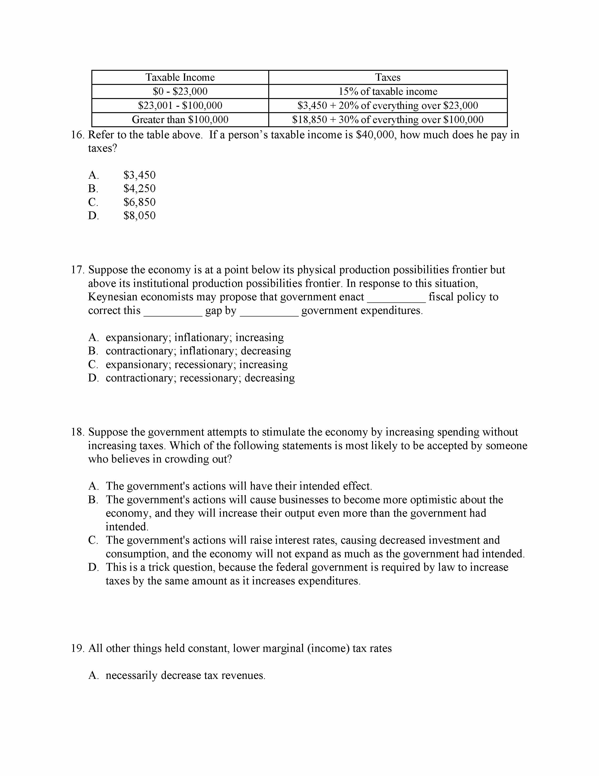
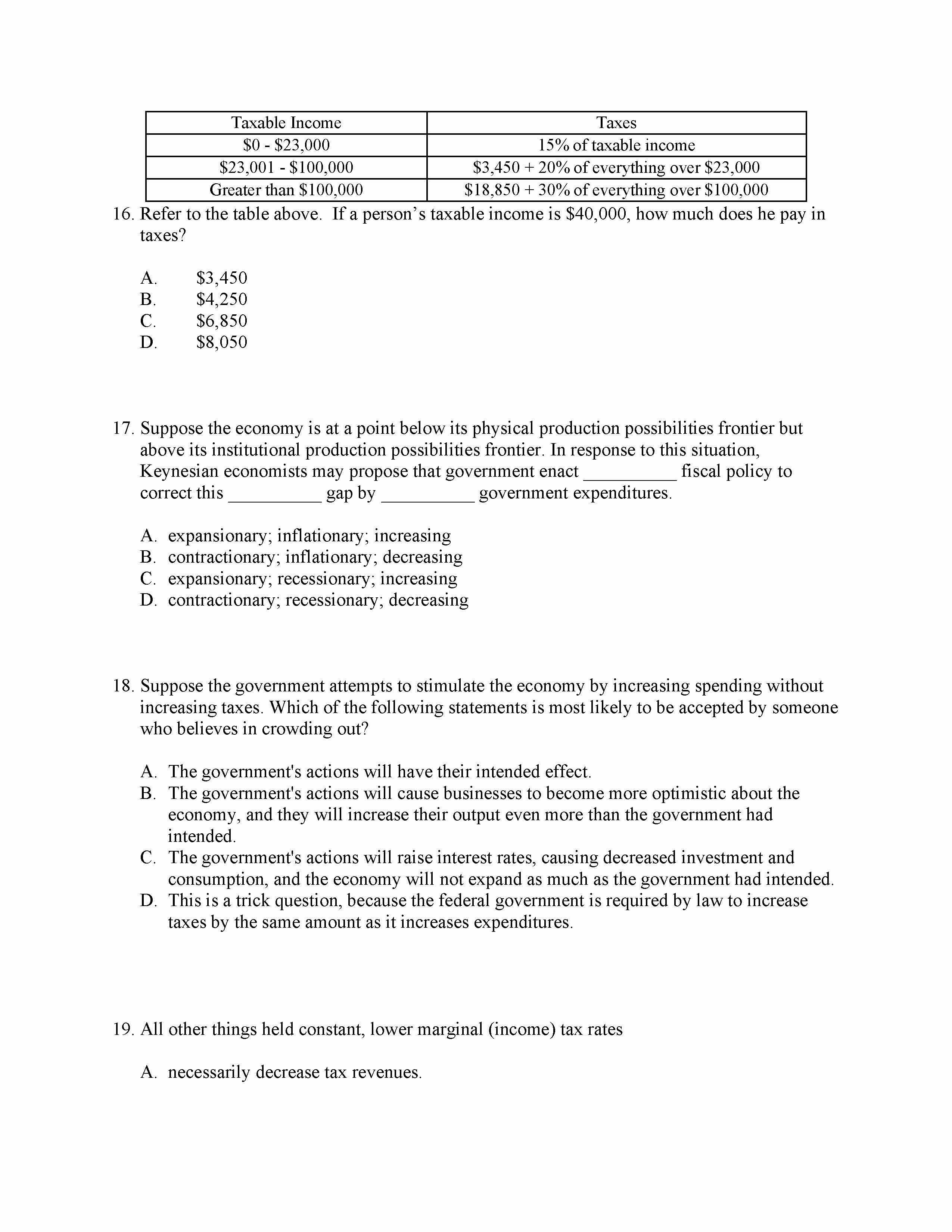
Economics
Multiple Choice Questions 1. Which of the followings is true about...
Multiple Choice Questions 1. Which of the followings is true about...