Subjects
Online Tutoring
Homework Help
Homework Library
Tutors
Online Classes
More
Bookstore
Blog
Technical Tips
FAQ
Contact Us
Get Help Now
Home
Homework Library
Business
Economics
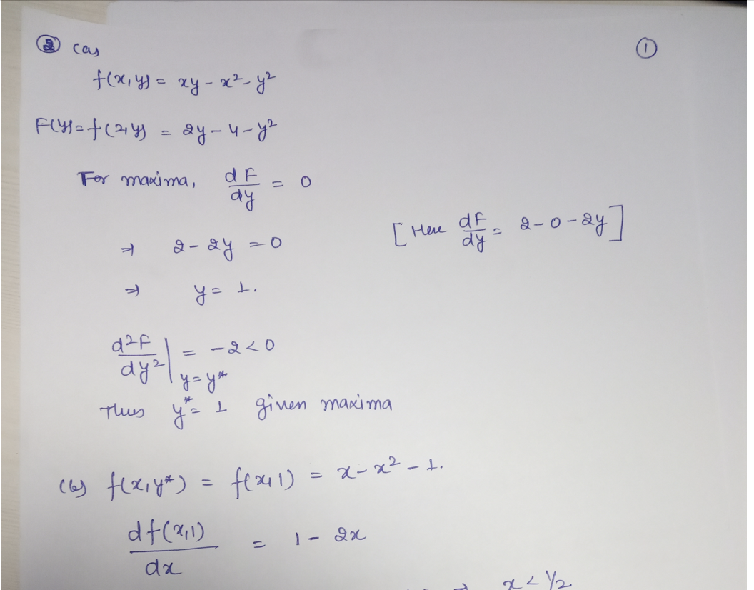
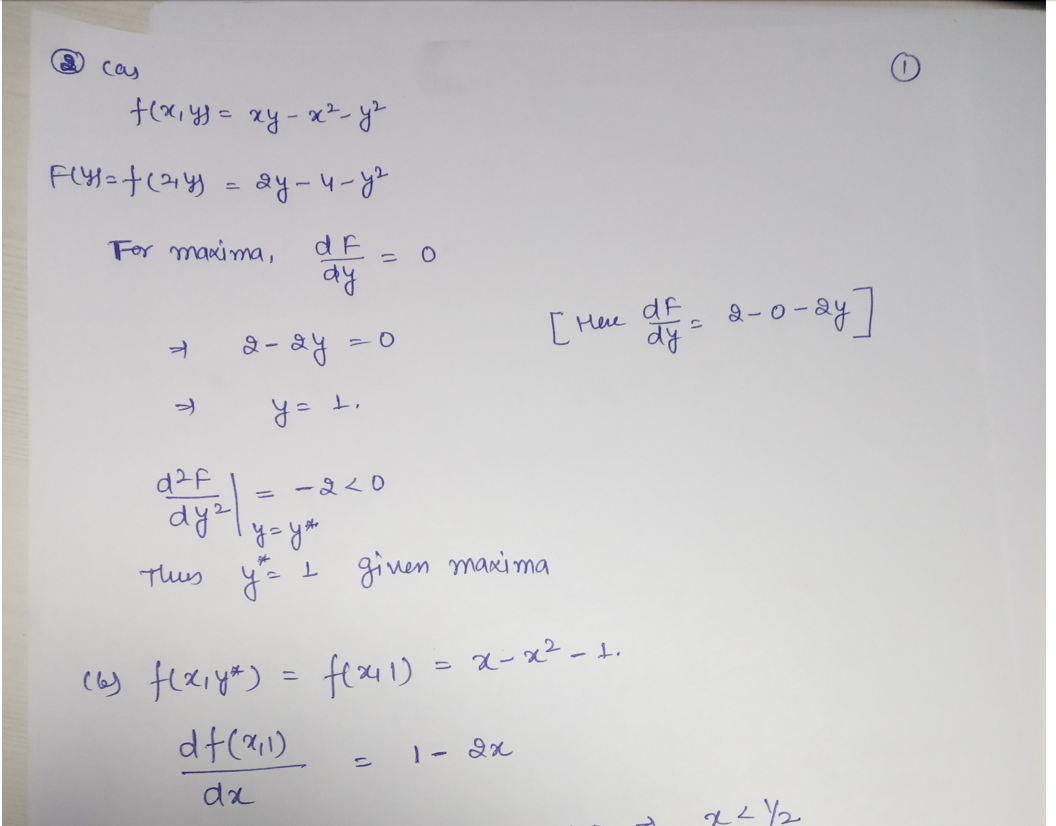
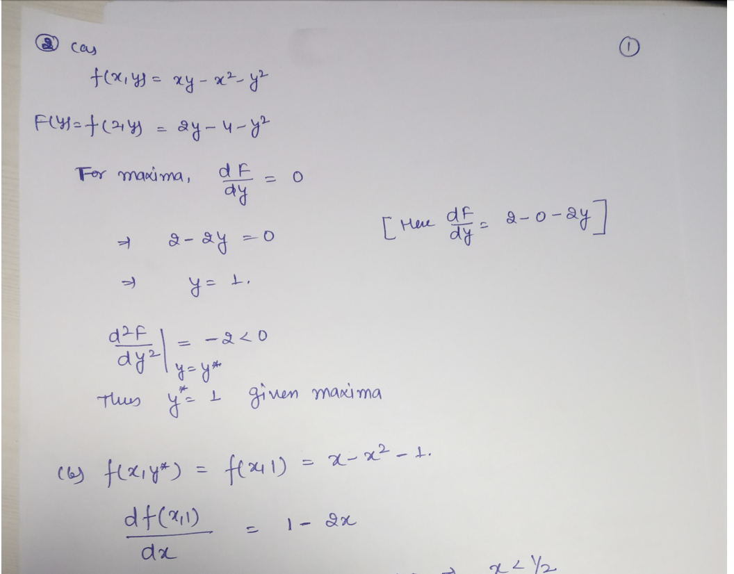
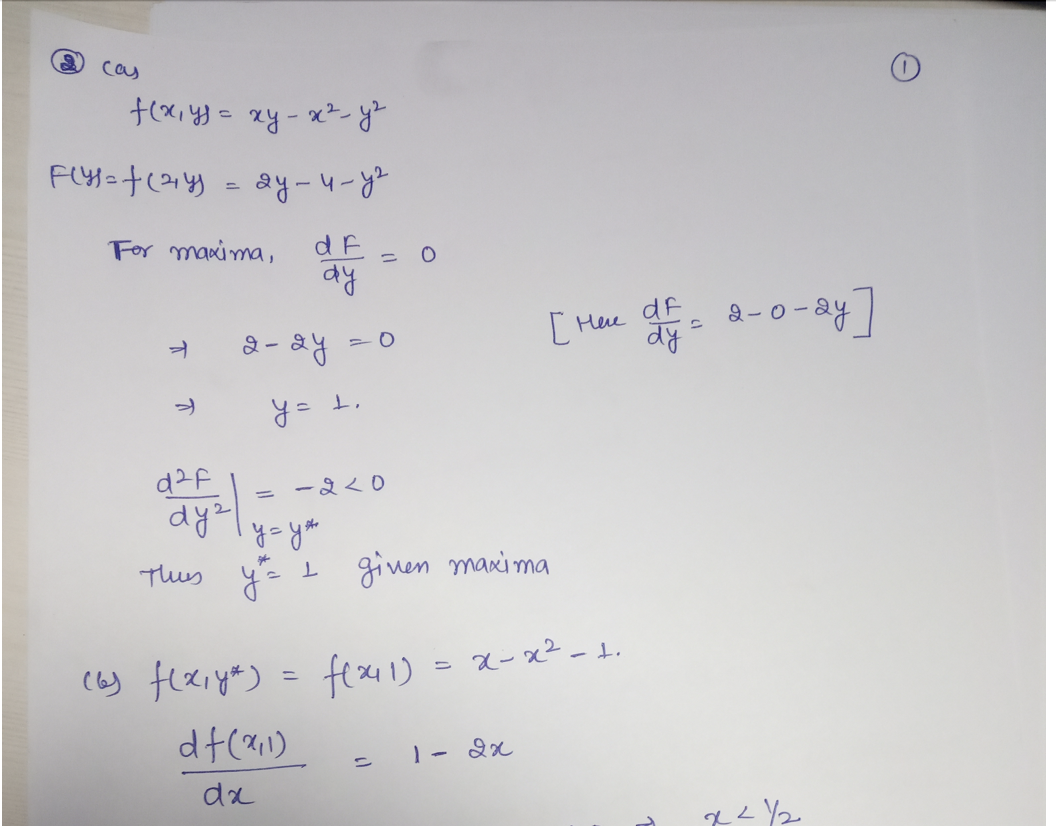
2 Unconstrained optimization in two variables Consider the functi...
2 Unconstrained optimization in two variables Consider the functi...