Subjects
Online Tutoring
Homework Help
Homework Library
Tutors
Online Classes
More
Bookstore
Blog
Technical Tips
FAQ
Contact Us
Get Help Now
Home
Homework Library
Business
Economics
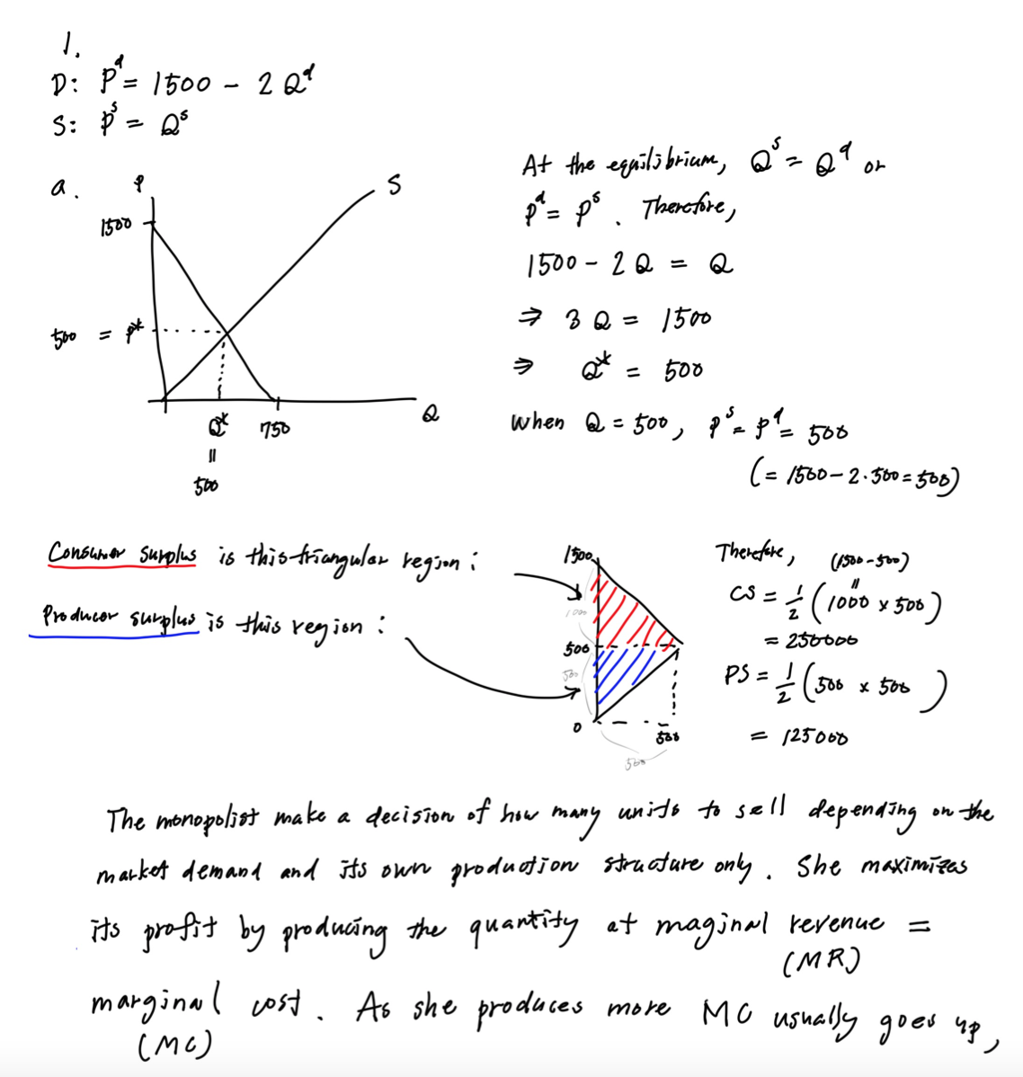
1. Consider a Perfectly Competitive market where the demand is give...
1. Consider a Perfectly Competitive market where the demand is give...