Subjects
Online Tutoring
Homework Help
Homework Library
Tutors
Online Classes
More
Bookstore
Blog
Technical Tips
FAQ
Contact Us
Get Help Now
Home
Homework Library
Business
Economics
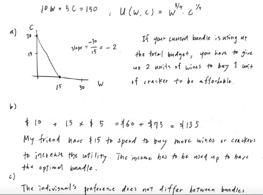
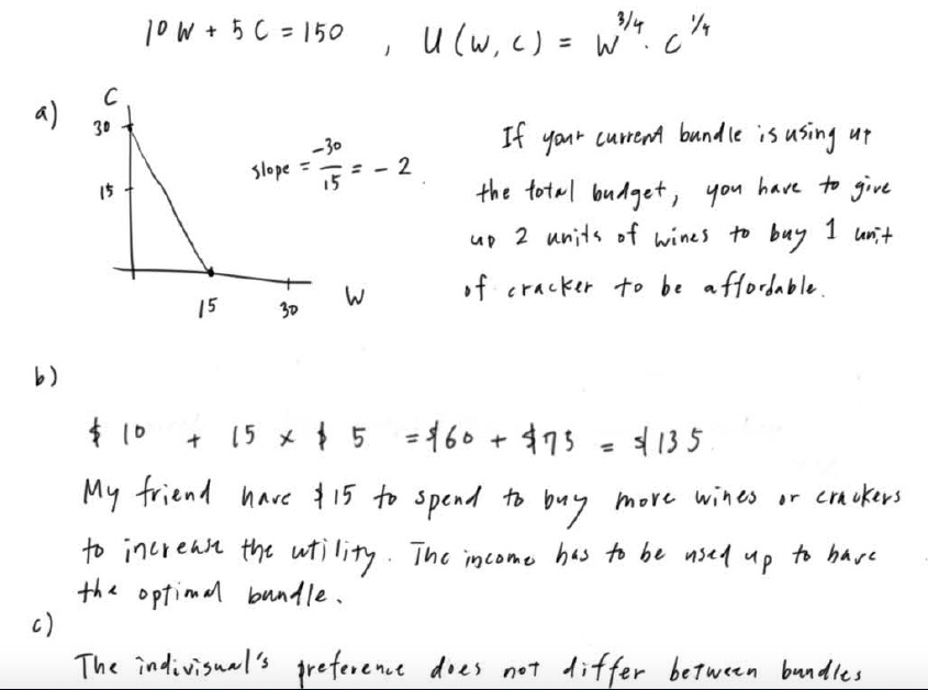
Learning Log- Entry 3 Given an income equation, $150 = ($10xWine)...
Learning Log- Entry 3 Given an income equation, $150 = ($10xWine)...