Subjects
Online Tutoring
Homework Help
Homework Library
Tutors
Online Classes
More
Bookstore
Blog
Technical Tips
FAQ
Contact Us
Get Help Now
Home
Homework Library
Business
Finance
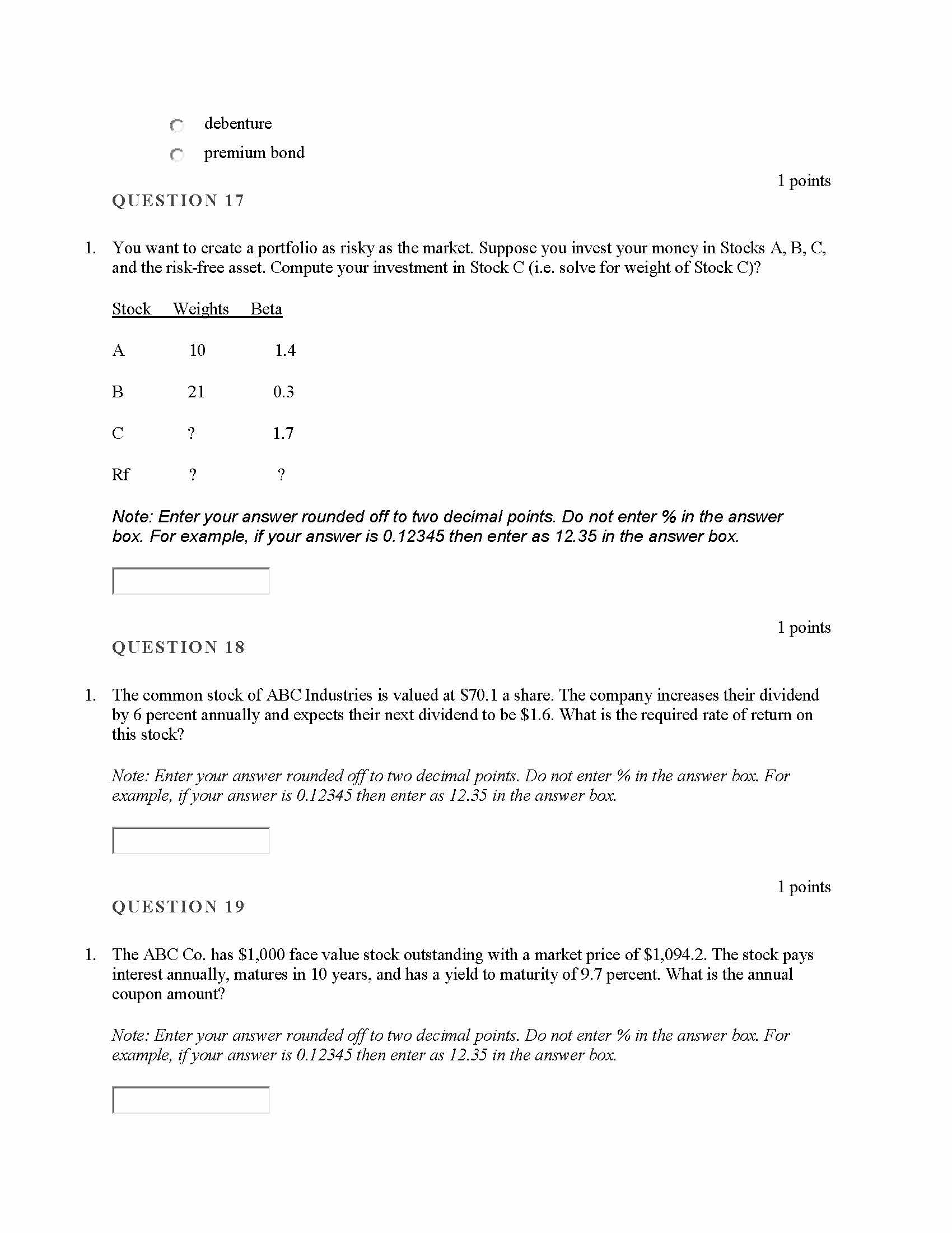
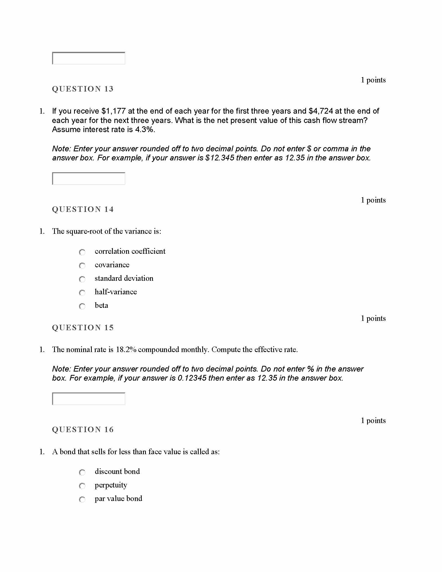
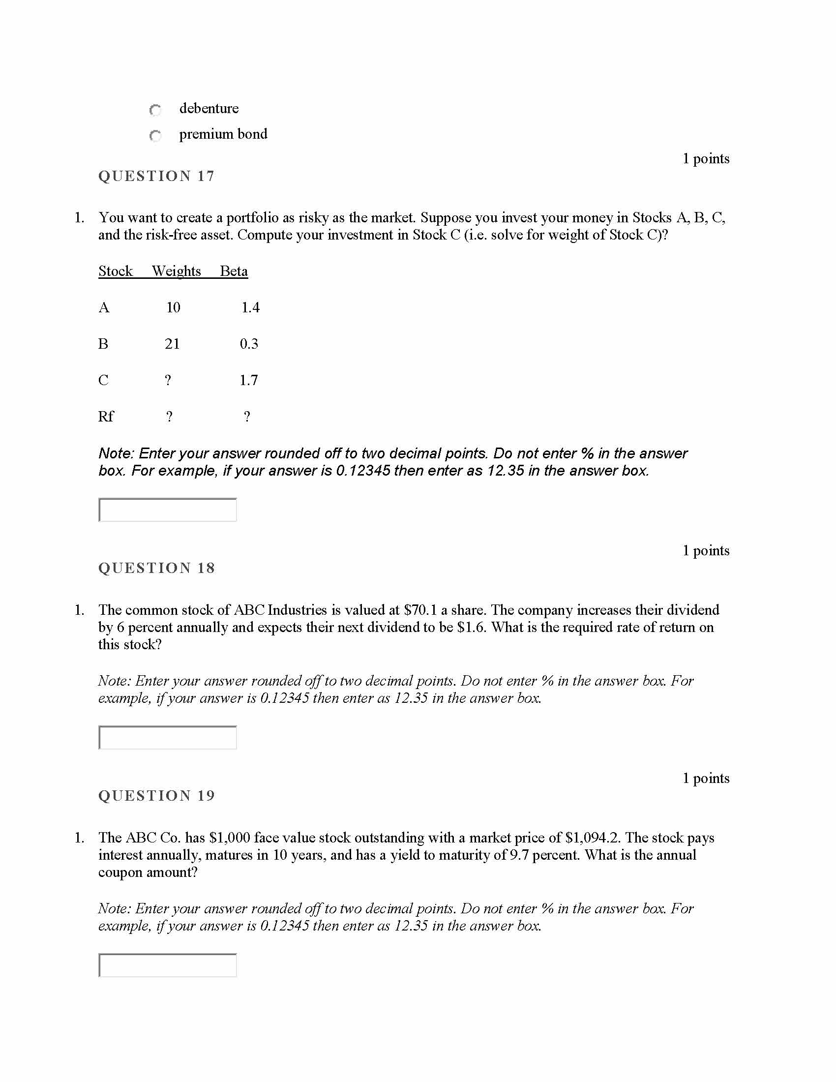
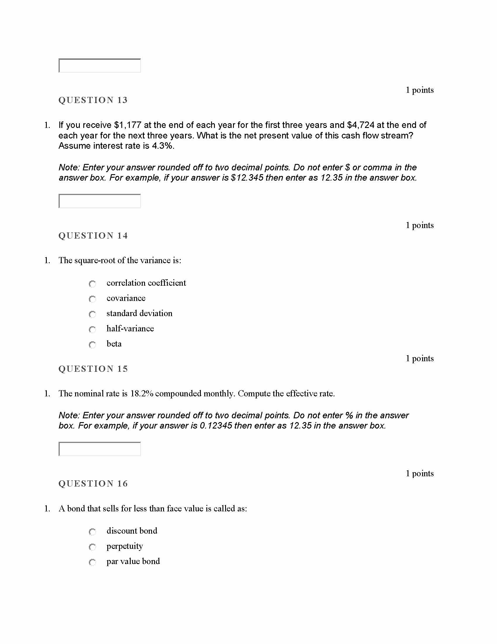
QUESTION 1 1. ABC Company's last dividend was $2.8. The dividend g...
QUESTION 1 1. ABC Company's last dividend was $2.8. The dividend g...