Subjects
Online Tutoring
Homework Help
Homework Library
Tutors
Online Classes
More
Bookstore
Blog
Technical Tips
FAQ
Contact Us
Get Help Now
Home
Homework Library
Business
Finance
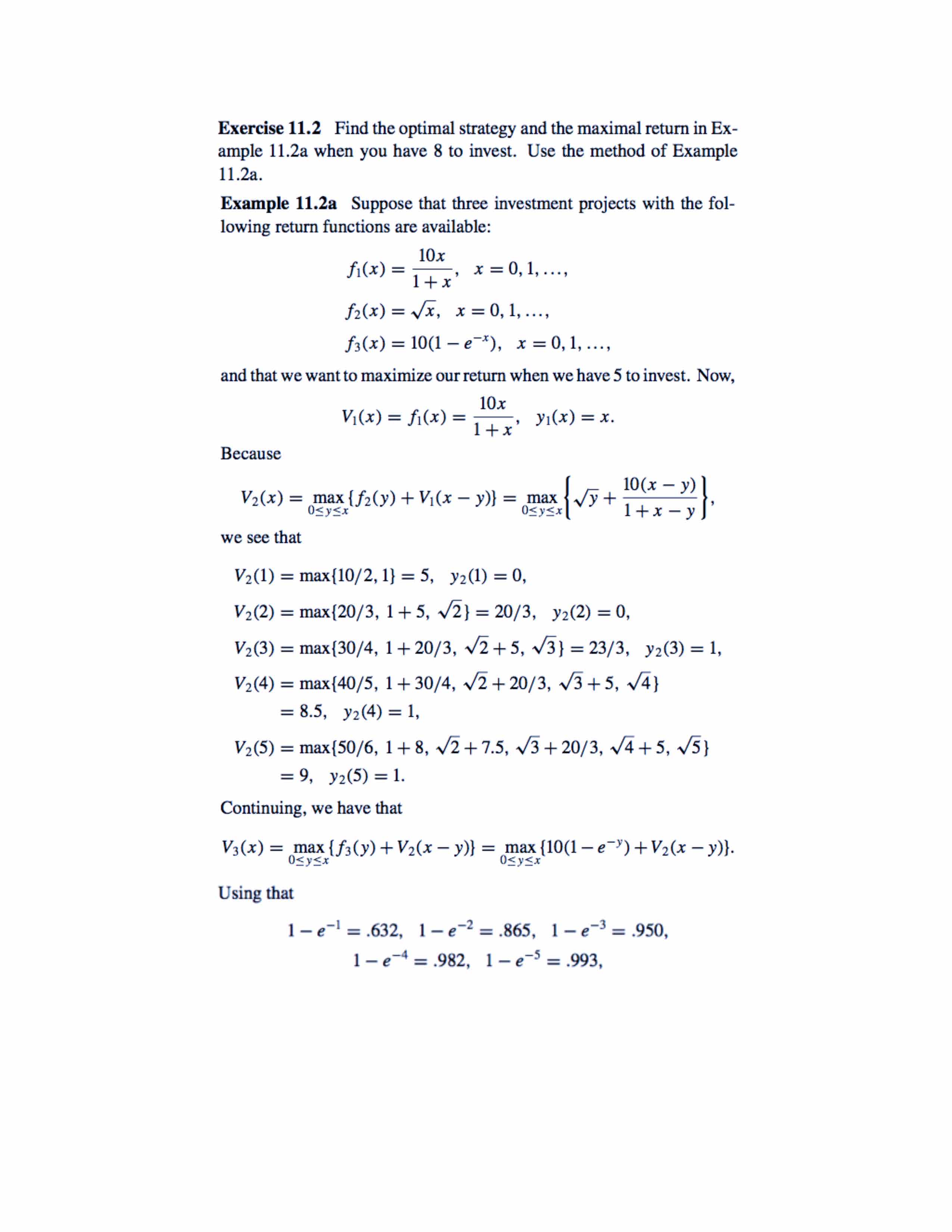
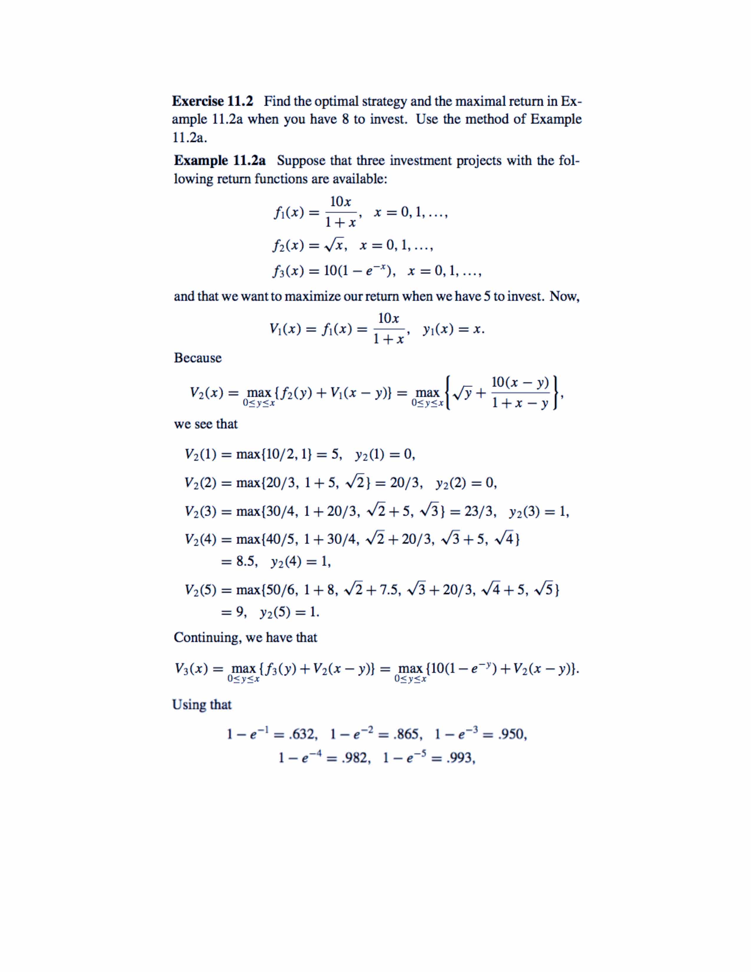
BOOK REVIEW PROBLEMS: [Solution from Ross on next page for Example...
BOOK REVIEW PROBLEMS: [Solution from Ross on next page for Example...