Subjects
Online Tutoring
Homework Help
Homework Library
Tutors
Online Classes
More
Bookstore
Blog
Technical Tips
FAQ
Contact Us
Get Help Now
Home
Homework Library
Chemistry
Biochemistry
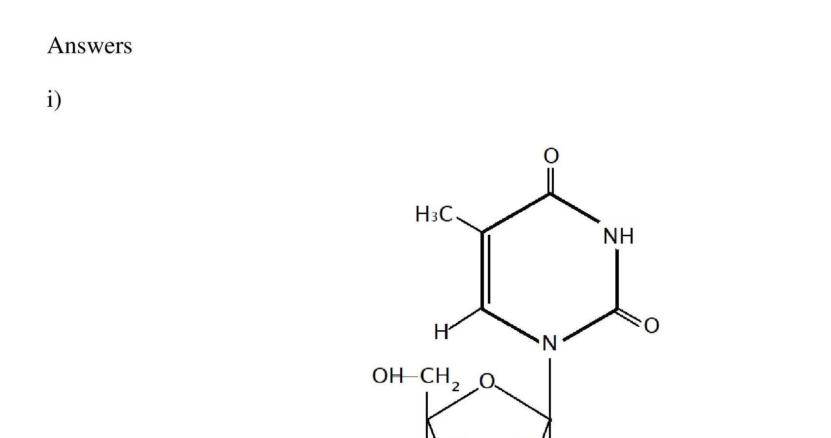
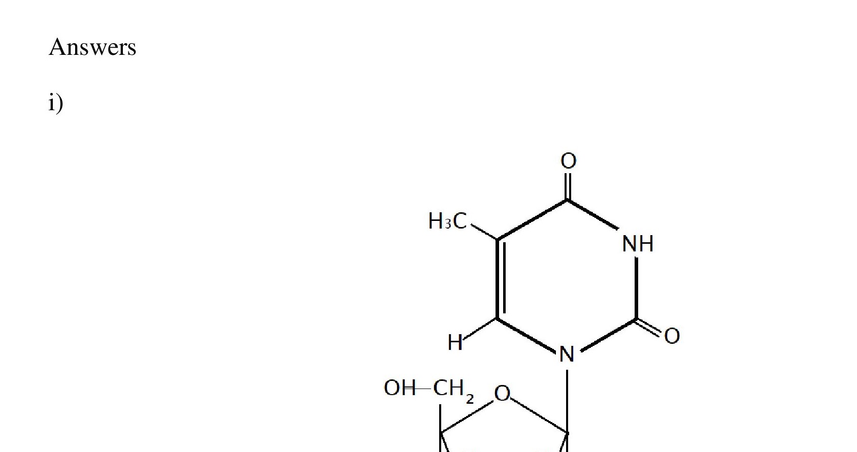
Answer all parts (a) DNA and RNA are extremely complex biopolyme...
Answer all parts (a) DNA and RNA are extremely complex biopolyme...