Subjects
Online Tutoring
Homework Help
Homework Library
Tutors
Online Classes
More
Bookstore
Blog
Technical Tips
FAQ
Contact Us
Get Help Now
Home
Homework Library
Chemistry
Biochemistry
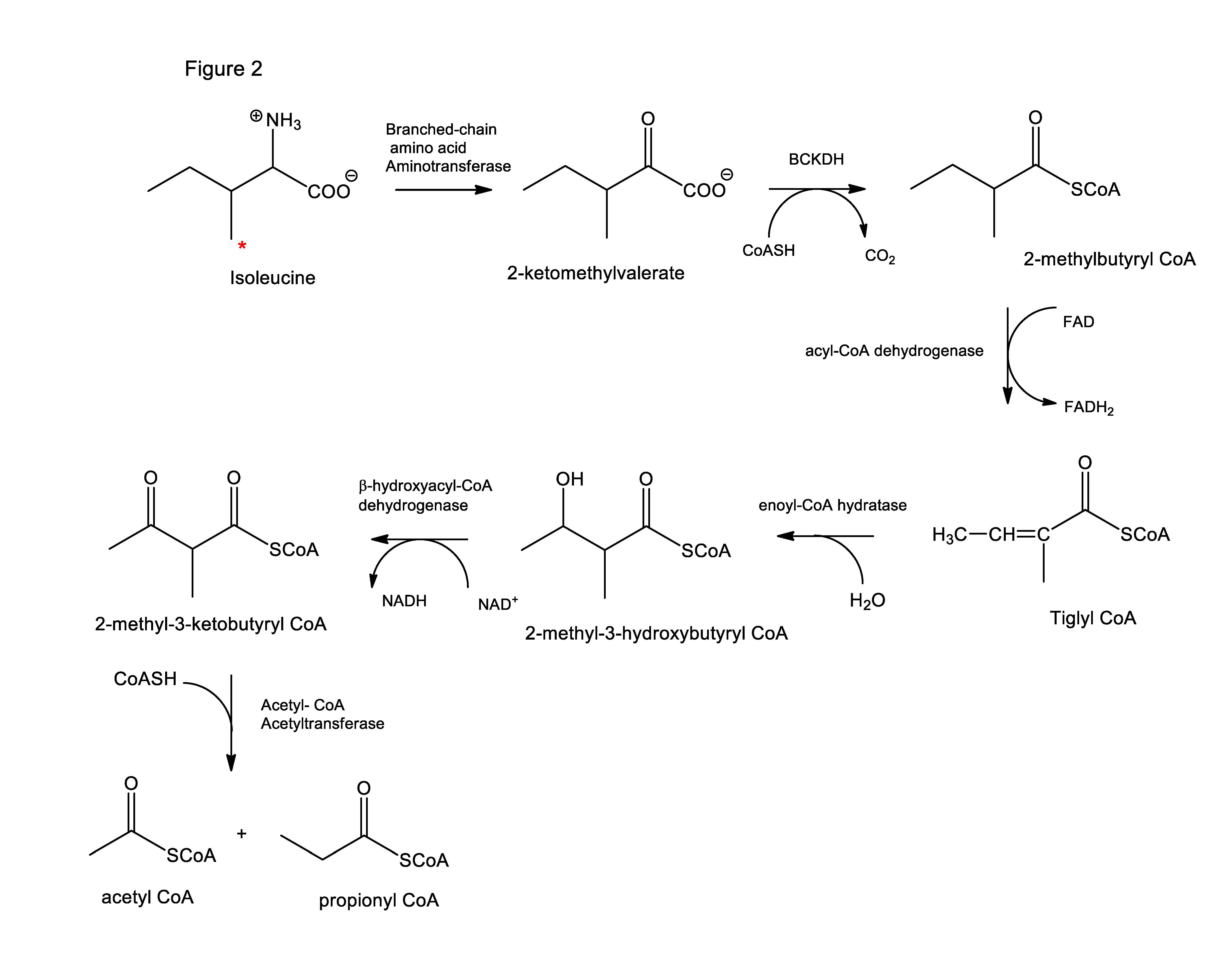
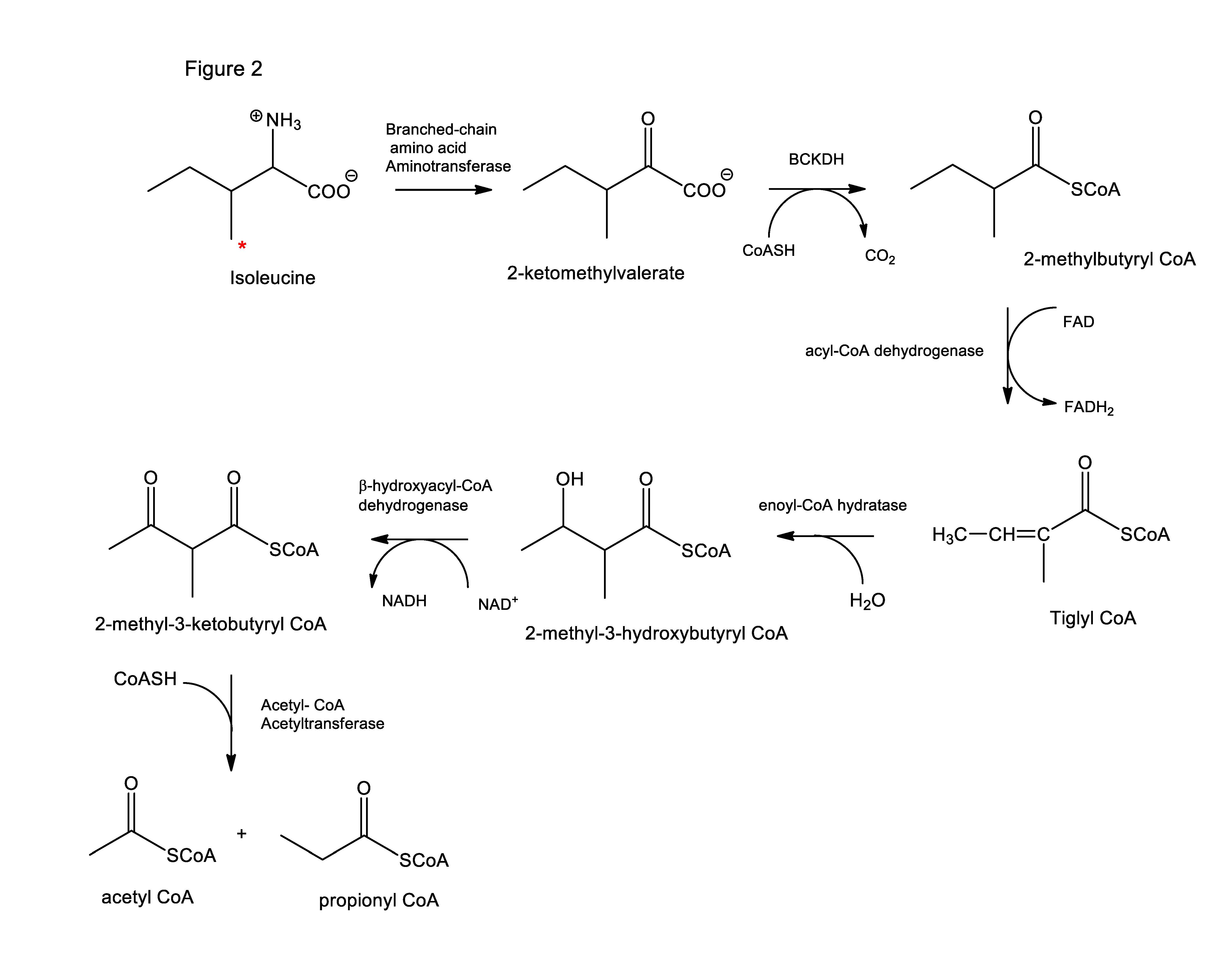
Part I The initial steps of the catabolism of the three branched c...
Part I The initial steps of the catabolism of the three branched c...