Subjects
Online Tutoring
Homework Help
Homework Library
Tutors
Online Classes
More
Bookstore
Blog
Technical Tips
FAQ
Contact Us
Get Help Now
Home
Homework Library
Chemistry
Biochemistry
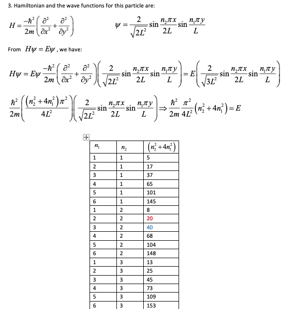
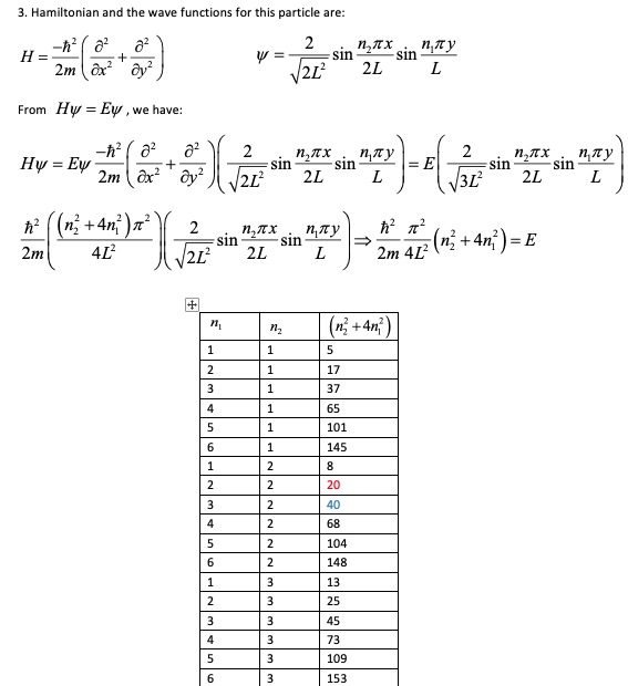
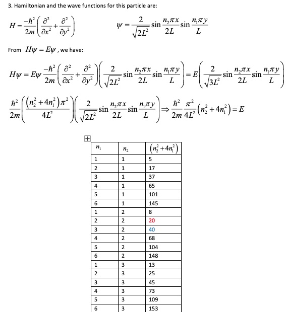
3. 2D Particle in a box. As you know, a symmetric 2D particle in a...
3. 2D Particle in a box. As you know, a symmetric 2D particle in a...