Subjects
Online Tutoring
Homework Help
Homework Library
Tutors
Online Classes
More
Bookstore
Blog
Technical Tips
FAQ
Contact Us
Get Help Now
Home
Homework Library
Chemistry
Chemistry - Other
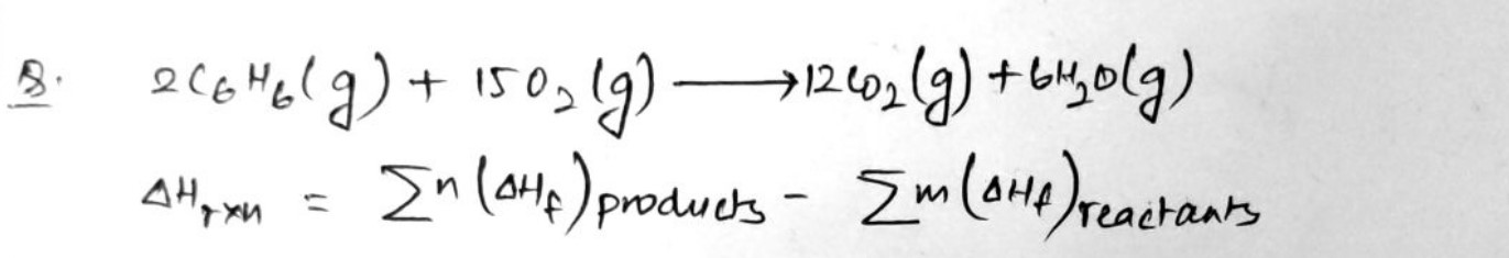
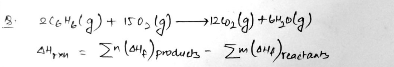
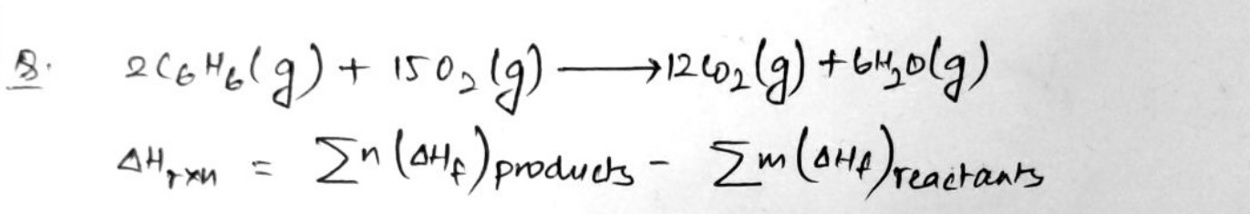
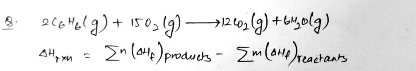
1. Use Hess’s law to calculate the heat of reaction for the ...
1. Use Hess’s law to calculate the heat of reaction for the follo...