Subjects
Online Tutoring
Homework Help
Homework Library
Tutors
More
Bookstore
Blog
Technical Tips
FAQ
Contact Us
Get Help Now
Home
Homework Library
Chemistry
General Chemistry
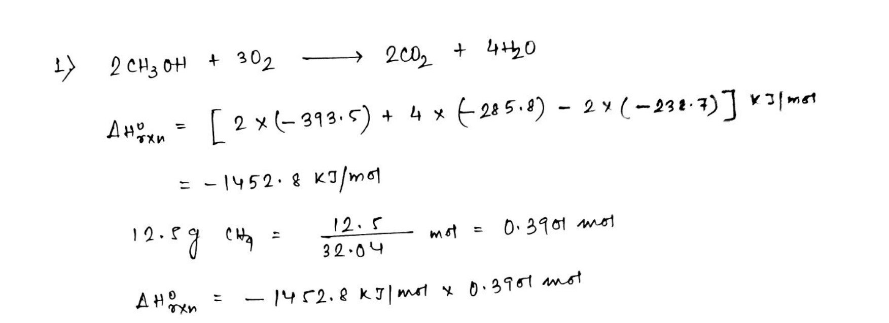
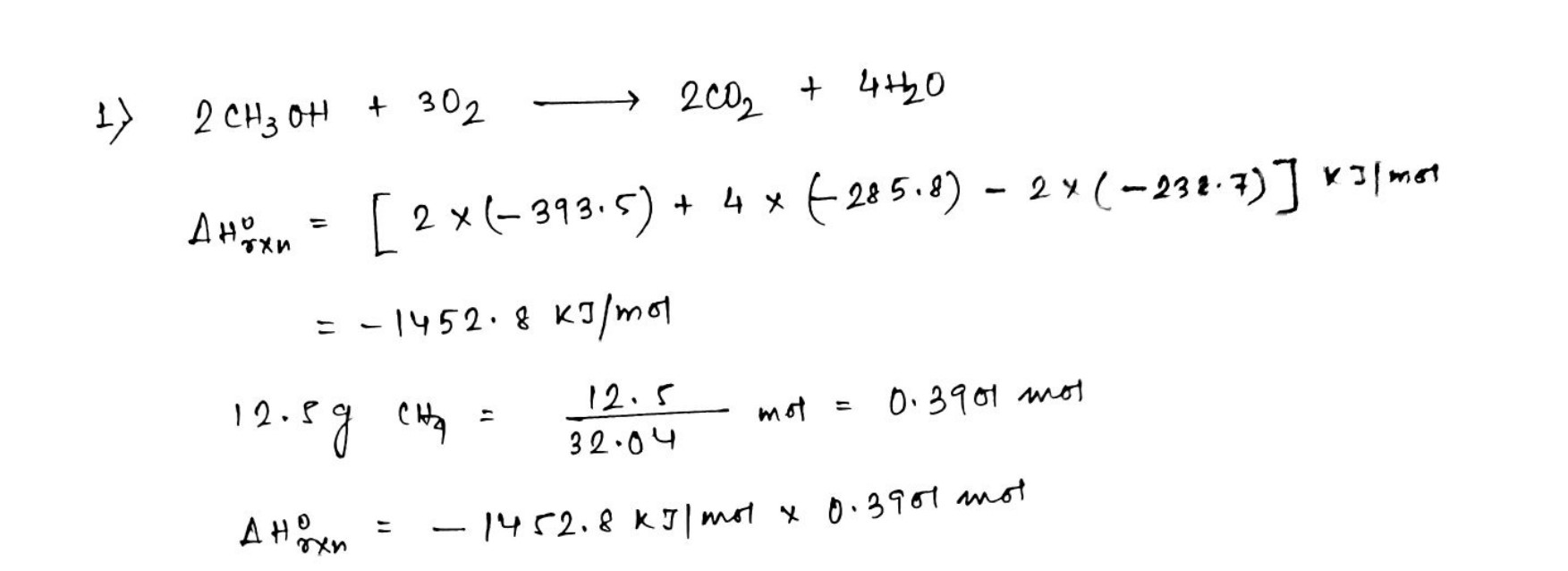
Question 1 : The standard enthalpies of formation, at 25.00 °C,...
Question 1 : The standard enthalpies of formation, at 25.00 °C, o...