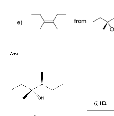
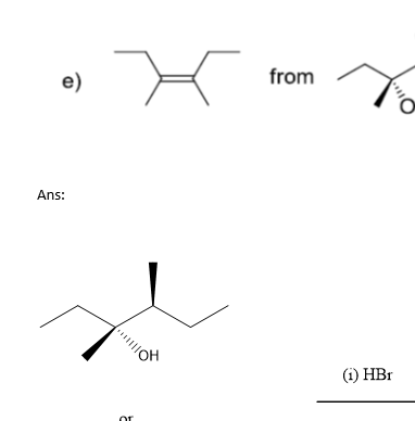
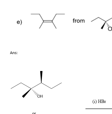
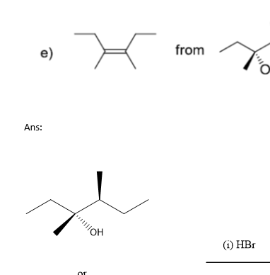
Question
Solution Preview

These solutions may offer step-by-step problem-solving explanations or good writing examples that include modern styles of formatting and construction of bibliographies out of text citations and references.
Students may use these solutions for personal skill-building and practice.
Unethical use is strictly forbidden.

This is only a preview of the solution.
Please use the purchase button to see the entire solution.
By purchasing this solution you'll be able to access the following files:
Solution.docx
Purchase Solution
$9.00
Google Pay
Amazon
Paypal
Mastercard
Visacard
Discover
Amex
View Available Chemistry Tutors 645 tutors matched
ionut
Ionut
(ionut)
Master of Computer Science
Hi! MSc Applied Informatics & Computer Science Engineer. Practical experience in many CS & IT branches.Research work & homework
5/5 (6,808+ sessions)
1 hour avg response
$15-$50 hourly rate
math1983
Pranay
(math1983)
Doctor of Philosophy (PhD)
Ph.D. in mathematics and working as an Assistant Professor in University. I can provide help in mathematics, statistics and allied areas.
4.6/5 (6,703+ sessions)
1 hour avg response
$40-$50 hourly rate
Leo
(Leo)
Doctor of Philosophy (PhD)
Hi! I have been a professor in New York and taught in a math department and in an applied math department.
4.9/5 (6,469+ sessions)
2 hours avg response

Similar Homework Solutions