Subjects
Online Tutoring
Homework Help
Homework Library
Tutors
More
Bookstore
Blog
Technical Tips
FAQ
Contact Us
Get Help Now
Home
Homework Library
Engineering
Mechanical Engineering
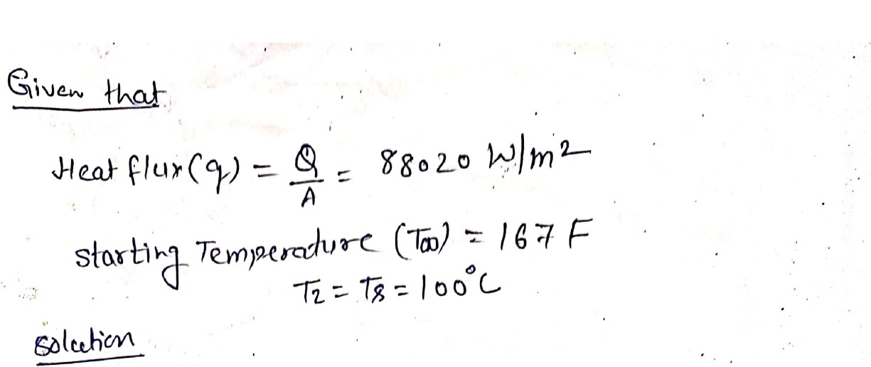
Calculation of convection heat transfer involves Fourier’s l...
Calculation of convection heat transfer involves Fourier’s law as...