Subjects
Online Tutoring
Homework Help
Homework Library
Tutors
Online Classes
More
Bookstore
Blog
Technical Tips
FAQ
Contact Us
Get Help Now
Home
Homework Library
Exam Prep
SAT - Math
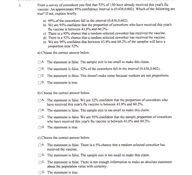
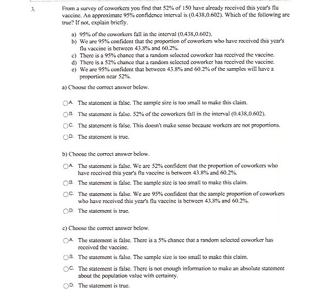
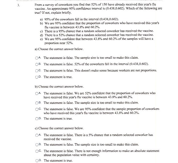
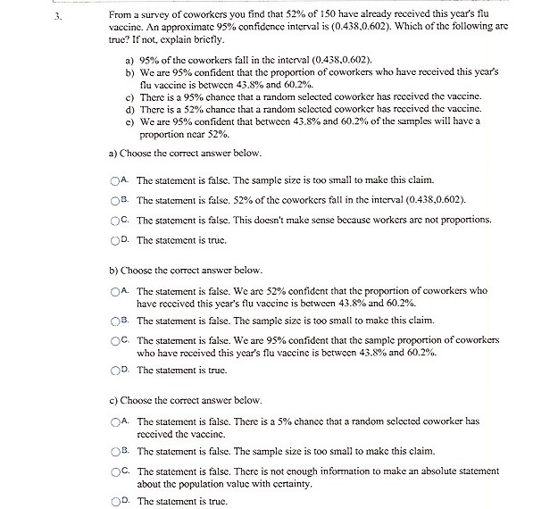
1. An investment website can tell what devices are used to access ...
1. An investment website can tell what devices are used to access...