Subjects
Online Tutoring
Homework Help
Homework Library
Tutors
Online Classes
More
Bookstore
Blog
Technical Tips
FAQ
Contact Us
Get Help Now
Home
Homework Library
Exam Prep
SAT - Math
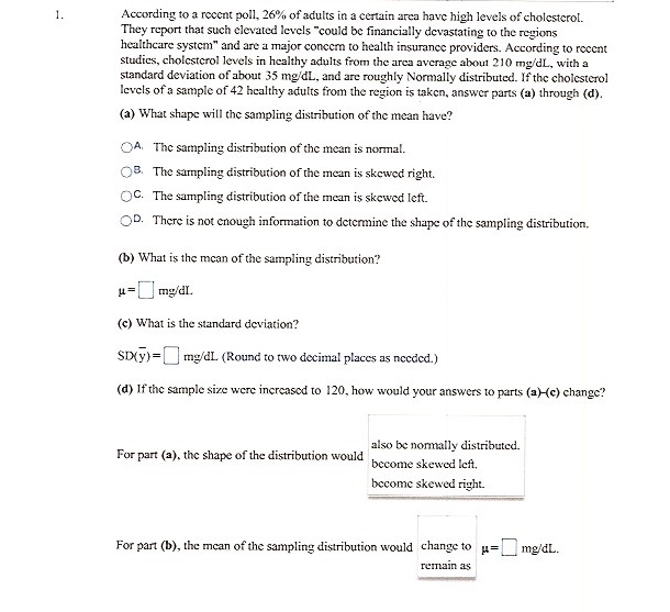
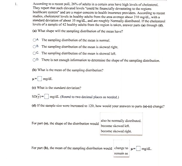
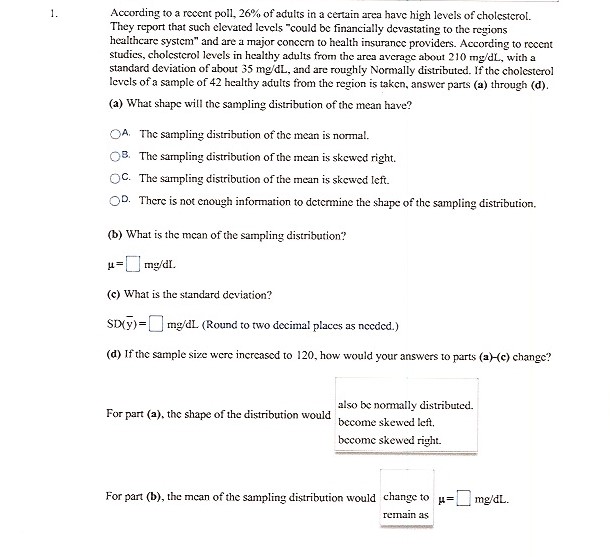
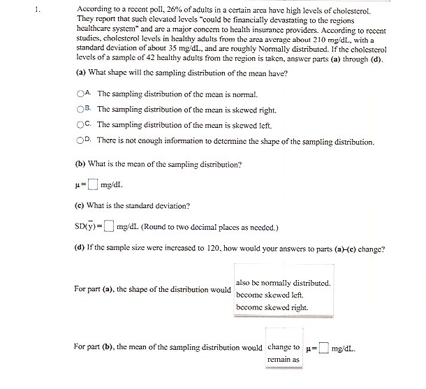
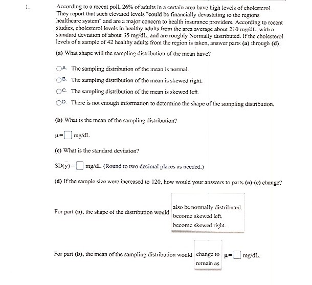
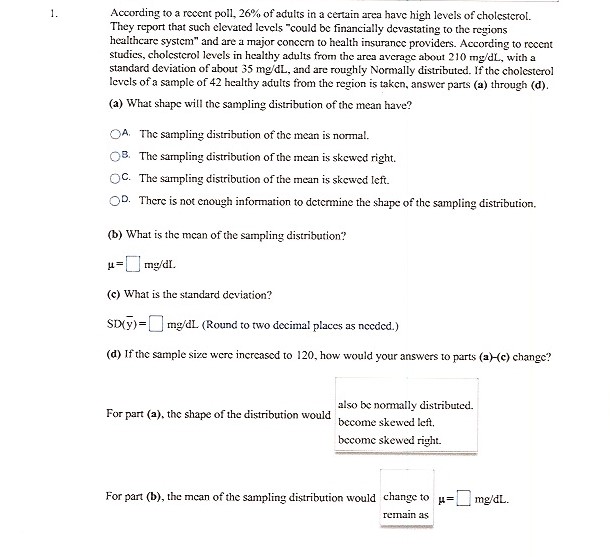
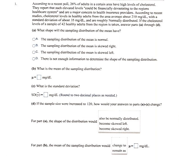
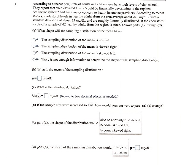
1. According to a recent poll, 26% of adults in a certain area hav...
1. According to a recent poll, 26% of adults in a certain area hav...