Subjects
Online Tutoring
Homework Help
Homework Library
Tutors
Online Classes
More
Bookstore
Blog
Technical Tips
FAQ
Contact Us
Get Help Now
Home
Homework Library
Law
Criminal Justice
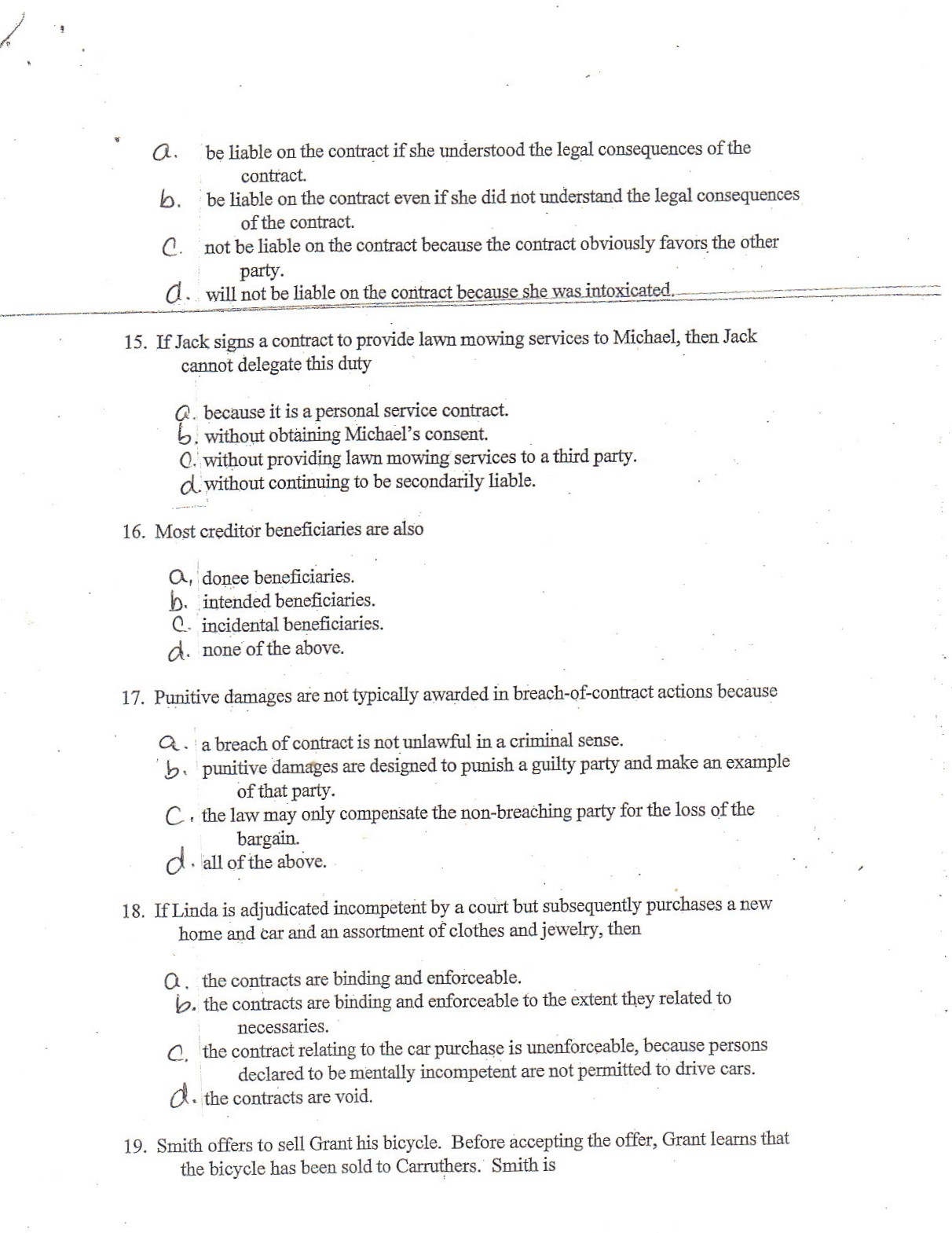
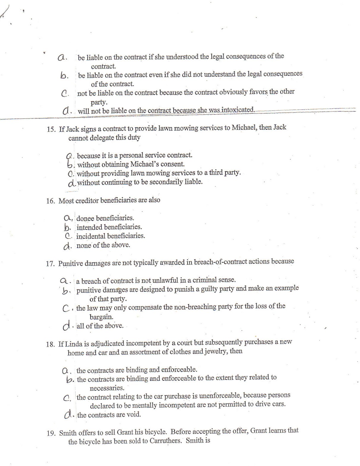
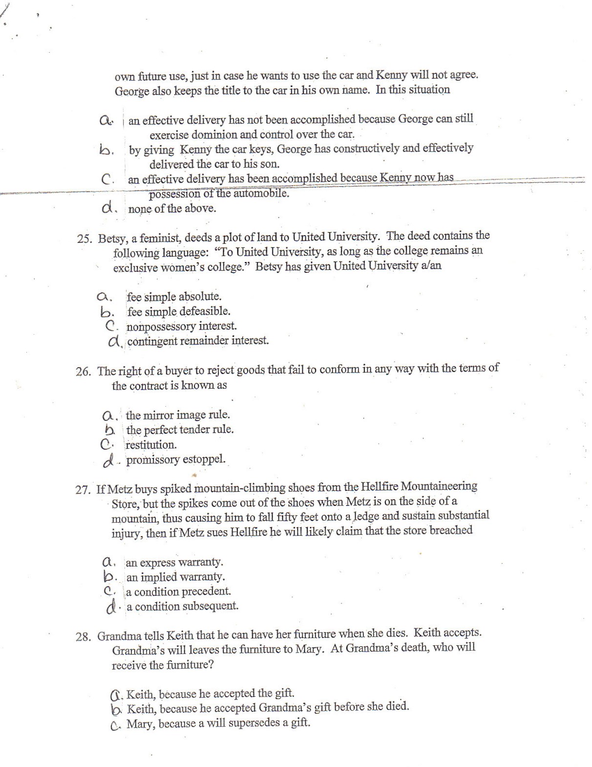
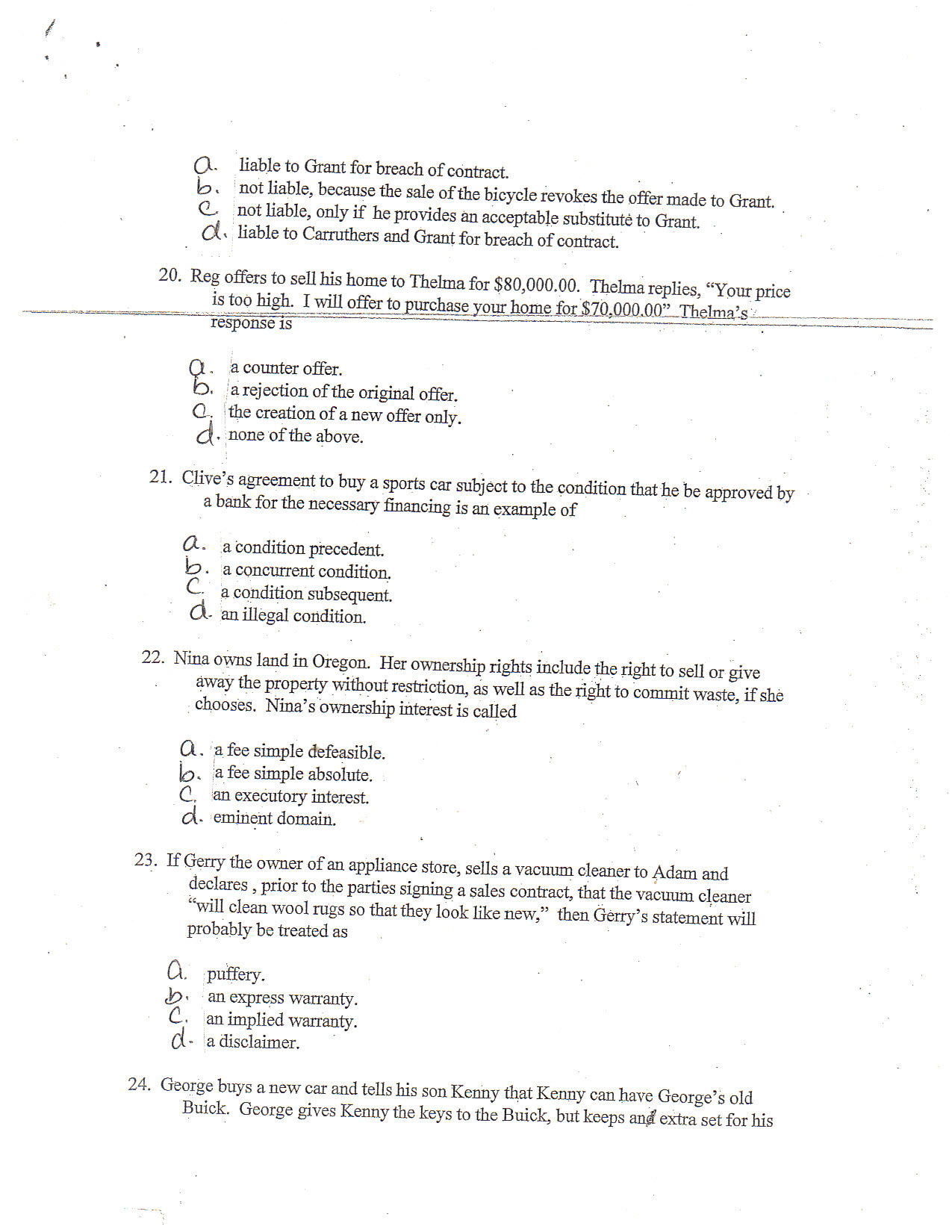
TRUE/FALSE In the space provided, write T is the statement is true...
TRUE/FALSE In the space provided, write T is the statement is true...