Subjects
Online Tutoring
Homework Help
Homework Library
Tutors
Online Classes
More
Bookstore
Blog
Technical Tips
FAQ
Contact Us
Get Help Now
Home
Homework Library
Mathematics
Abstract Algebra
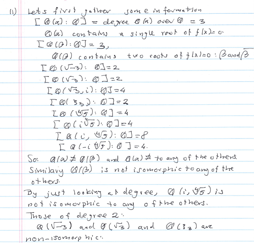
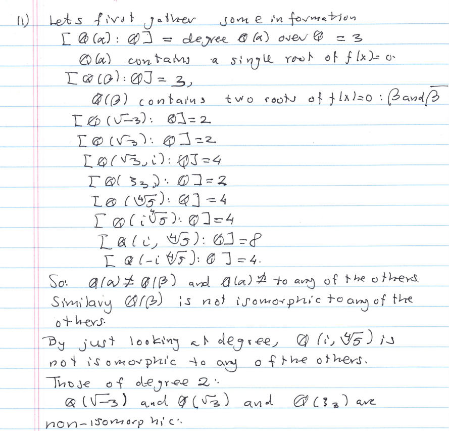
1) Let α, β be two distinct roots of a cubic polynomial f ∈ Q[x...